🇳🇴 🇬🇧 🇩🇪 🇨🇿 🇫🇮

Meteor Malvikin yllä 2021-01-20 05:20:13 UTC

KML-tiedosto  |  Interaktiivinen kartta

Kartta näyttää meteorin suuntahavainnot. Vaaleammat viivat näyttävät suunnat havaintoasemilta meteorin ilmestyessä, ja tummemmat viivat näyttävät, missä se viimeksi nähtiin. Sininen nuoli näyttää meteorin näkyvän lennon.

static map
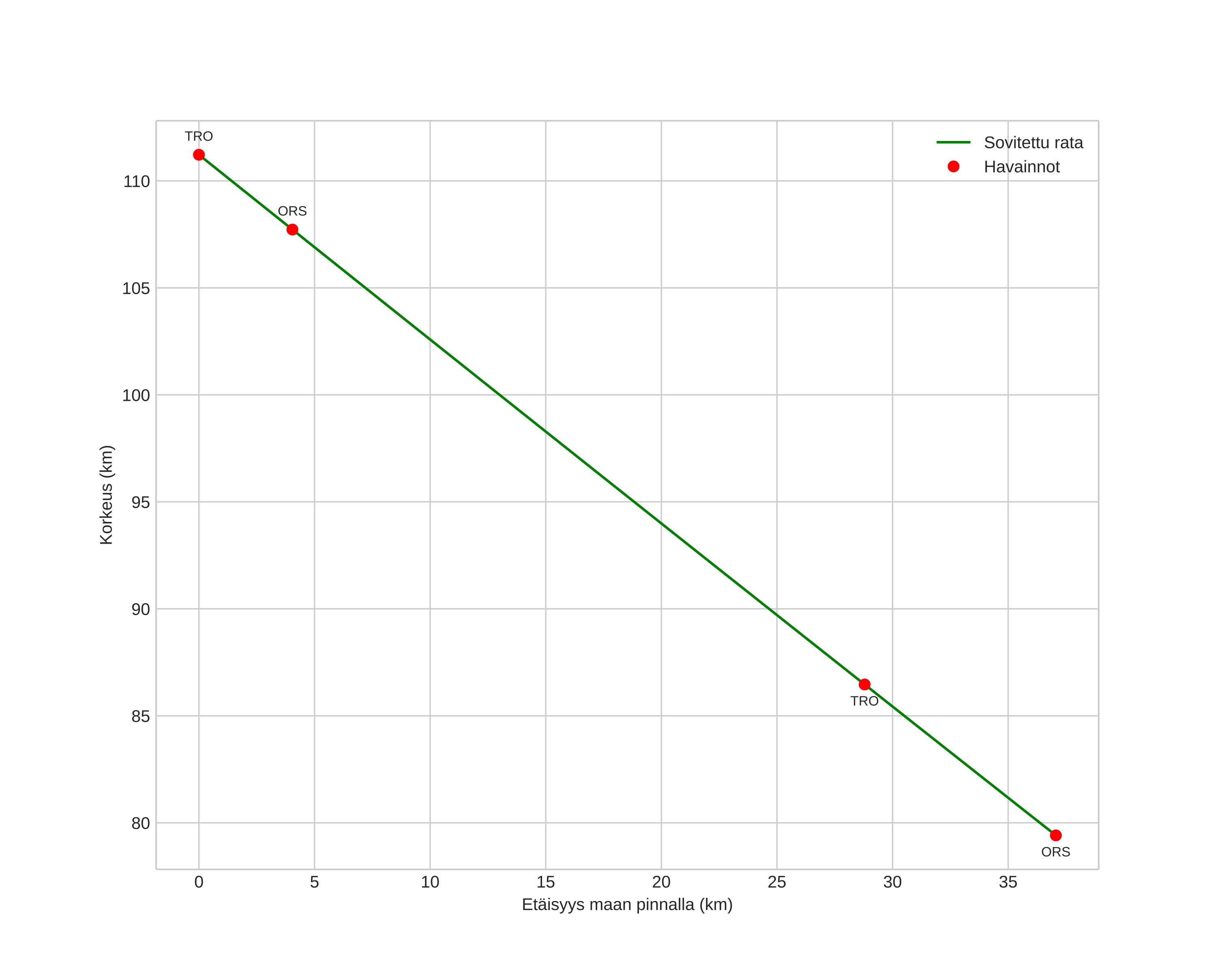
height profile
Meteorin ilmakehärata:
Alkukorkeus: 111,0 km
Loppukorkeus: 79,1 km
Alkupiste: 63,137N 10,982E
Loppupiste: 63,428N 10,621E
Suunta: 331,0°
Kallistuskulma: 40,7°
Tulonopeus: 68,7 km/s
Radiantin R,A,: 15:31 (232,9°)
Radiantin Dekl,: 16,1°
Meteoriparvi: Sporadinen
Meteoroidin rataelementit:
Perihelietäisyys: 0,897 AU
Eksentrisyys: 1,431
Inklinaatio: 122,1°
Nousevan solmun pituus: 300,1°
Perihelin argumentti: 148,2°
Keskianomalia: 6,1°
Epookki: 2021 JAN 20 05:20:13
orbit plot

Ei-interaktiivinen kuvaaja | Interaktiivinen kuvaaja

position vs time
speed and acceleration