🇳🇴 🇬🇧 🇩🇪 🇨🇿 🇫🇮

Meteor, poloha: Lillesand 2021-01-23 17:12:27 UTC

Soubor KML  |  InteraktivnĂ­ mapa

Mapa zobrazuje dráhy meteoru. Světlejší čáry ukazují směry od pozorovacích stanic při objevení se meteoru a tmavší čáry, kde byl naposledy viděn. Modrá šipka značí viditelnou dráhu meteoru.

static map
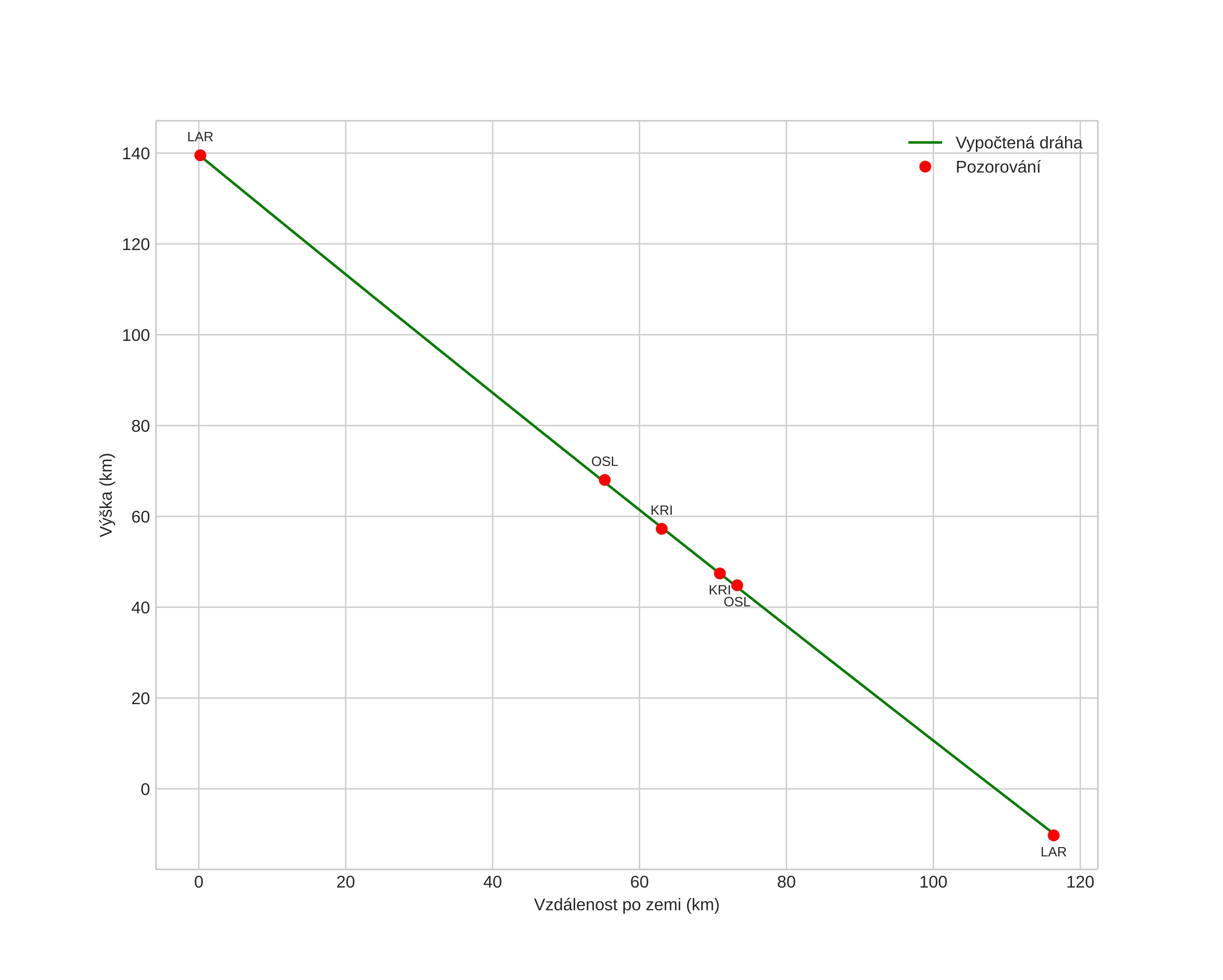
height profile
Atmosférická dráha meteoru:
Počáteční výška: 77,2 km
Konečná výška: 44,7 km
Počáteční poloha: 57,908N 8,992E
Konečná poloha: 57,890N 8,549E
Směr: 265,8°
Sklon: 51,1°
VstupnĂ­ rychlost: 18,6 km/s
Rektascenze radiantu: 06:10 (92,7°)
Deklinace radiantu: 40,4°
MeteorickĂ˝ roj: sporadickĂ˝
Elementy dráhy meteoroidu:
Vzdálenost v periheliu: 0,883 AU
Excentricita: 0,774
Sklon dráhy: 6,5°
Délka vzestupného uzlu: 303,6°
Argument perihelia: 220,2°
Střední anomálie: 356,5°
Epocha: 2021 JAN 23 17:12:27
orbit plot

NeinteraktivnĂ­ graf | InteraktivnĂ­ graf

position vs time
speed and acceleration