🇳🇴 🇬🇧 🇩🇪 🇨🇿 🇫🇮

Meteor Lillesandin yllä 2021-01-23 17:12:27 UTC

KML-tiedosto  |  Interaktiivinen kartta

Kartta näyttää meteorin suuntahavainnot. Vaaleammat viivat näyttävät suunnat havaintoasemilta meteorin ilmestyessä, ja tummemmat viivat näyttävät, missä se viimeksi nähtiin. Sininen nuoli näyttää meteorin näkyvän lennon.

static map
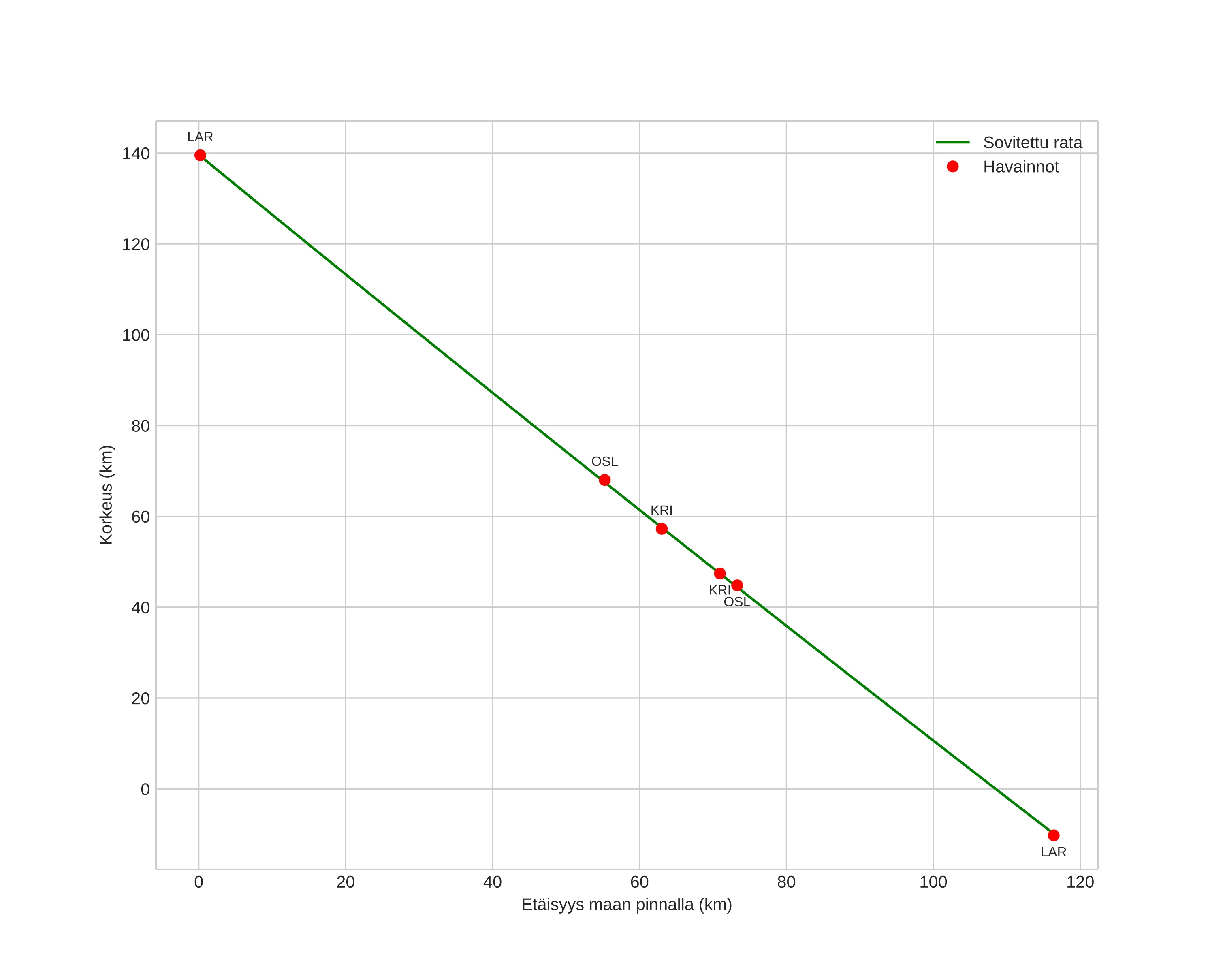
height profile
Meteorin ilmakehärata:
Alkukorkeus: 77,2 km
Loppukorkeus: 44,7 km
Alkupiste: 57,908N 8,992E
Loppupiste: 57,890N 8,549E
Suunta: 265,8°
Kallistuskulma: 51,1°
Tulonopeus: 18,6 km/s
Radiantin R,A,: 06:10 (92,7°)
Radiantin Dekl,: 40,4°
Meteoriparvi: Sporadinen
Meteoroidin rataelementit:
Perihelietäisyys: 0,883 AU
Eksentrisyys: 0,774
Inklinaatio: 6,5°
Nousevan solmun pituus: 303,6°
Perihelin argumentti: 220,2°
Keskianomalia: 356,5°
Epookki: 2021 JAN 23 17:12:27
orbit plot

Ei-interaktiivinen kuvaaja | Interaktiivinen kuvaaja

position vs time
speed and acceleration