🇳🇴 🇬🇧 🇩🇪 🇨🇿 🇫🇮

Meteor, poloha: Ulefoss 2021-01-25 22:00:51 UTC

Soubor KML  |  InteraktivnĂ­ mapa

Mapa zobrazuje dráhy meteoru. Světlejší čáry ukazují směry od pozorovacích stanic při objevení se meteoru a tmavší čáry, kde byl naposledy viděn. Modrá šipka značí viditelnou dráhu meteoru.

static map
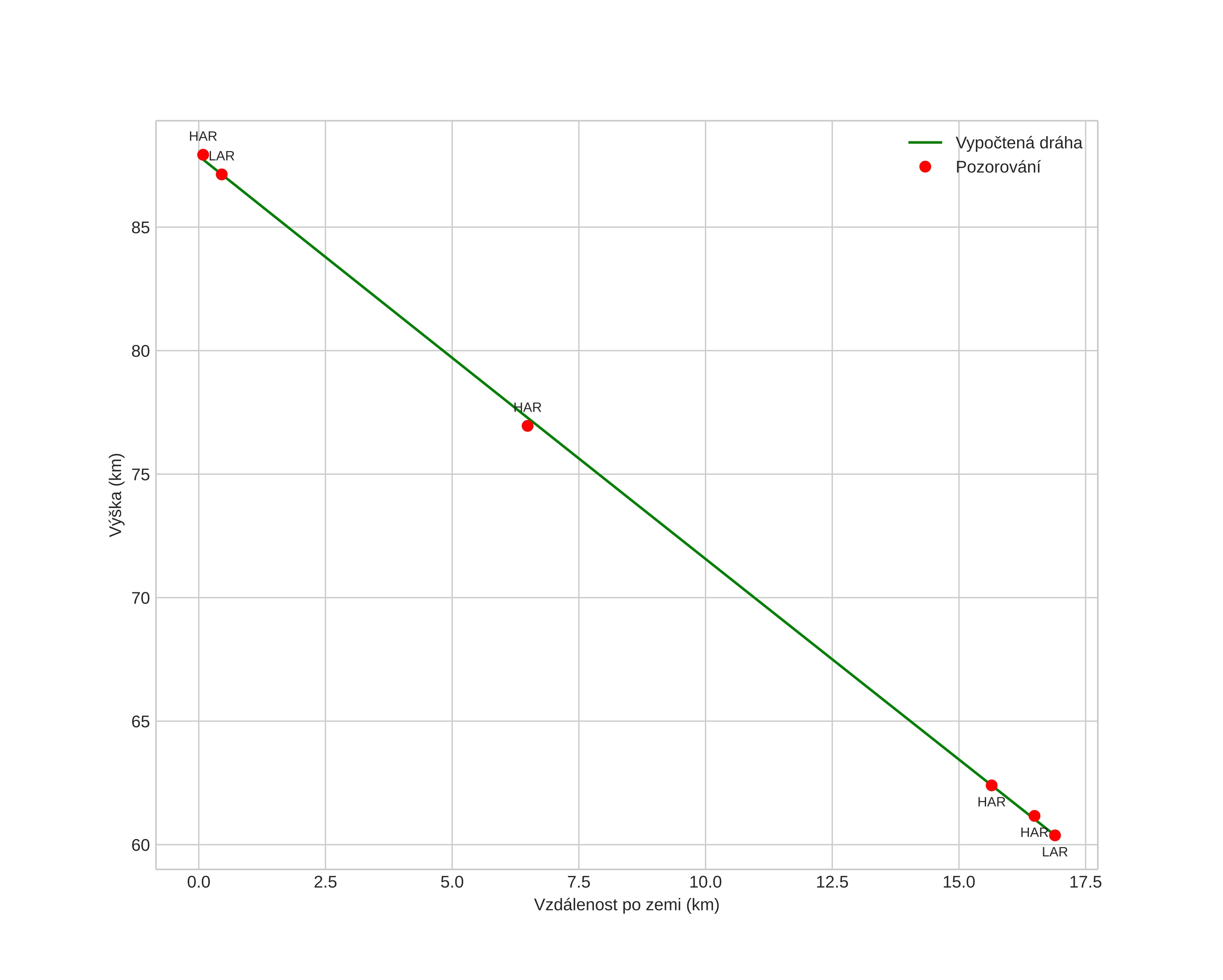
height profile
Atmosférická dráha meteoru:
Počáteční výška: 88,8 km
Konečná výška: 60,2 km
Počáteční poloha: 59,169N 9,437E
Konečná poloha: 59,309N 9,288E
Směr: 331,5°
Sklon: 58,3°
VstupnĂ­ rychlost: 22,0 km/s
Rektascenze radiantu: 08:05 (121,5°)
Deklinace radiantu: 27,3°
MeteorickĂ˝ roj: sporadickĂ˝
Elementy dráhy meteoroidu:
Vzdálenost v periheliu: 0,696 AU
Excentricita: 0,703
Sklon dráhy: 3,9°
Délka vzestupného uzlu: 305,8°
Argument perihelia: 253,1°
Střední anomálie: 348,4°
Epocha: 2021 JAN 25 22:00:51
orbit plot

NeinteraktivnĂ­ graf | InteraktivnĂ­ graf

position vs time
speed and acceleration