🇳🇴 🇬🇧 🇩🇪 🇨🇿 🇫🇮

Meteor, poloha: Skotterud 2021-01-27 22:32:53 UTC

Soubor KML  |  InteraktivnĂ­ mapa

Mapa zobrazuje dráhy meteoru. Světlejší čáry ukazují směry od pozorovacích stanic při objevení se meteoru a tmavší čáry, kde byl naposledy viděn. Modrá šipka značí viditelnou dráhu meteoru.

static map
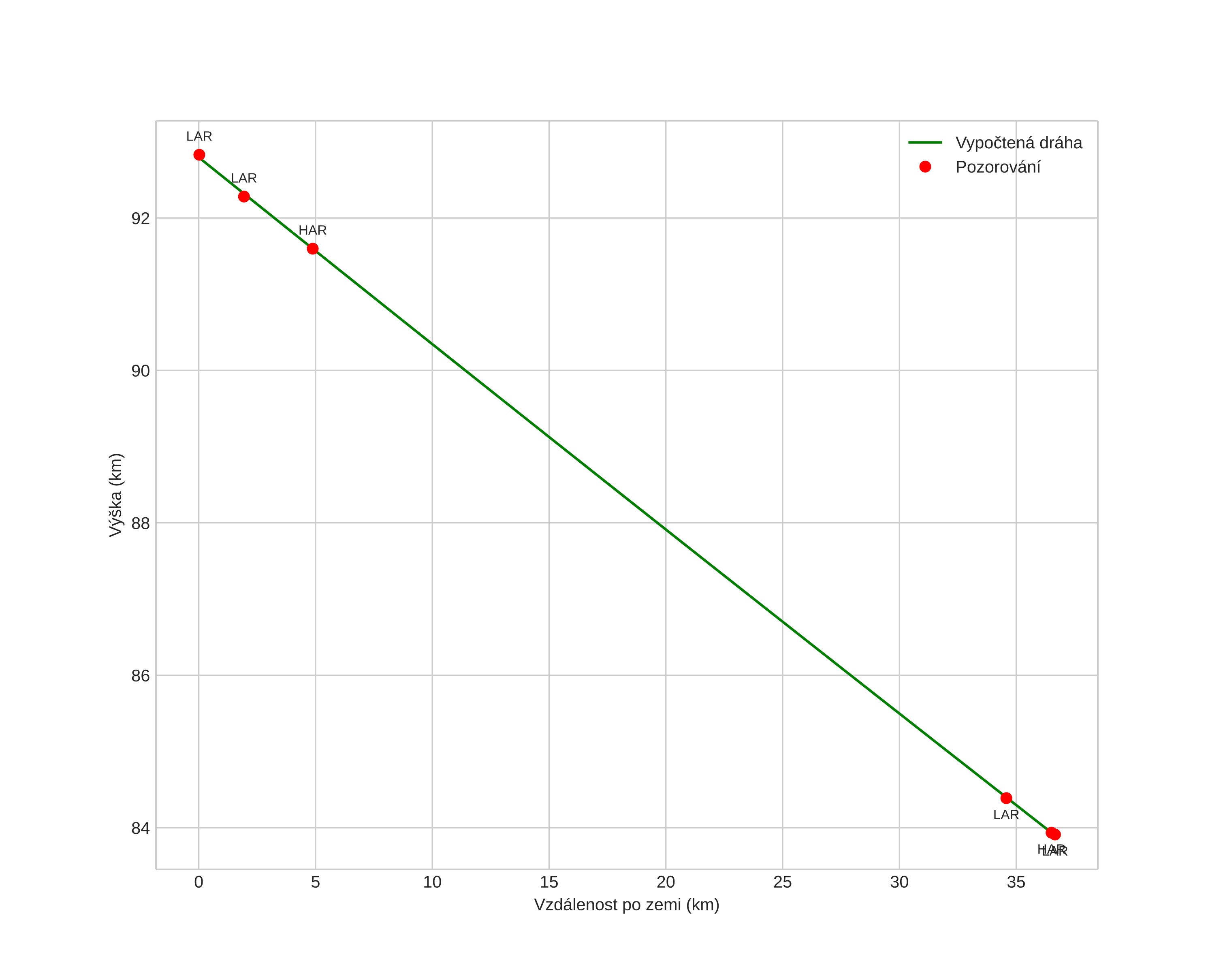
height profile
Atmosférická dráha meteoru:
Počáteční výška: 92,6 km
Konečná výška: 83,6 km
Počáteční poloha: 60,229N 11,709E
Konečná poloha: 60,064N 12,258E
Směr: 120,9°
Sklon: 14,2°
VstupnĂ­ rychlost: 16,7 km/s
Rektascenze radiantu: 00:02 (0,7°)
Deklinace radiantu: 15,8°
MeteorickĂ˝ roj: sporadickĂ˝
Elementy dráhy meteoroidu:
Vzdálenost v periheliu: 0,959 AU
Excentricita: 0,909
Sklon dráhy: 4,4°
Délka vzestupného uzlu: 307,9°
Argument perihelia: 161,0°
Střední anomálie: 0,4°
Epocha: 2021 JAN 27 22:32:53
orbit plot

NeinteraktivnĂ­ graf | InteraktivnĂ­ graf

position vs time
speed and acceleration