🇳🇴 🇬🇧 🇩🇪 🇨🇿 🇫🇮

Meteor Skotterudin yllä 2021-01-27 22:32:53 UTC

KML-tiedosto  |  Interaktiivinen kartta

Kartta näyttää meteorin suuntahavainnot. Vaaleammat viivat näyttävät suunnat havaintoasemilta meteorin ilmestyessä, ja tummemmat viivat näyttävät, missä se viimeksi nähtiin. Sininen nuoli näyttää meteorin näkyvän lennon.

static map
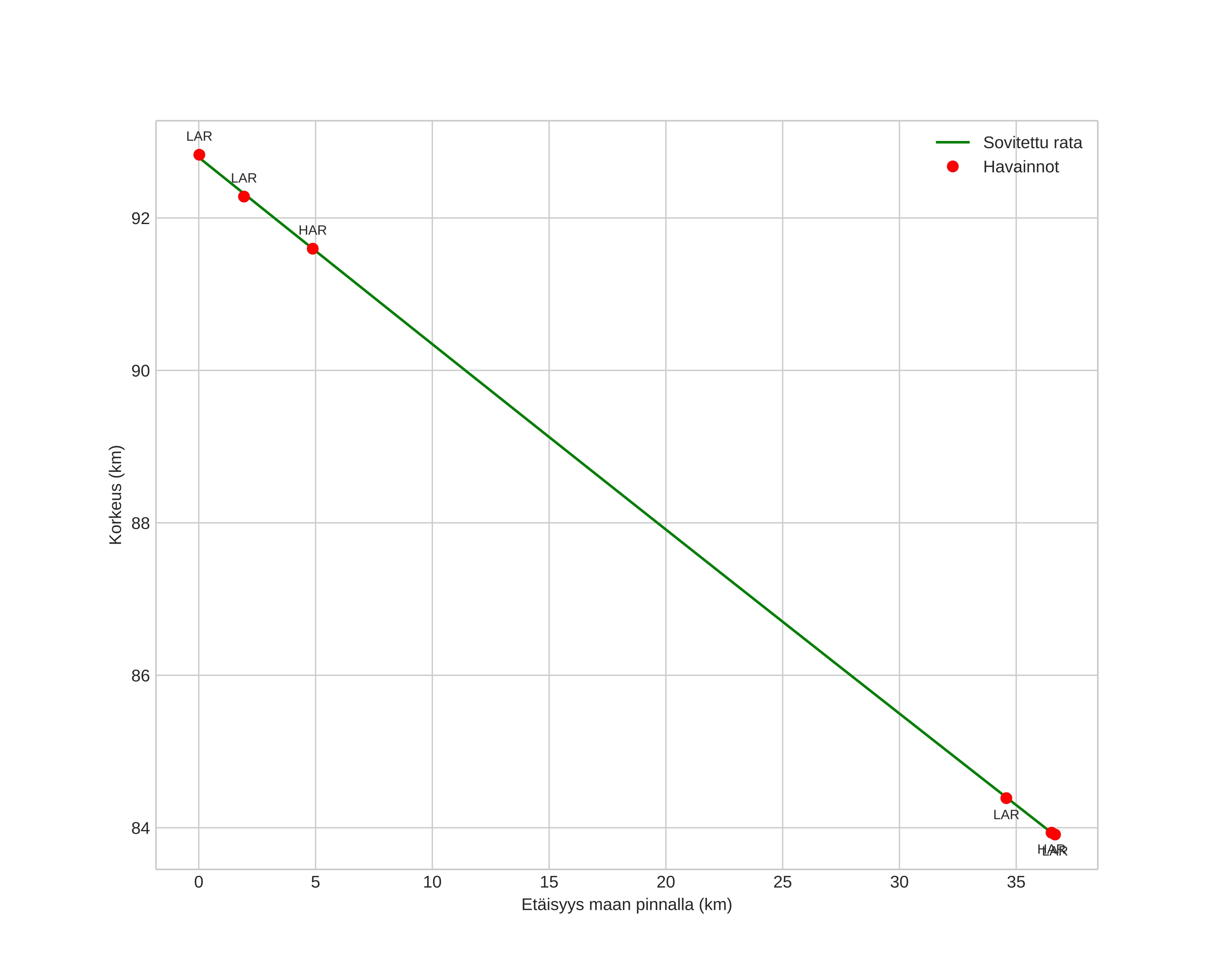
height profile
Meteorin ilmakehärata:
Alkukorkeus: 92,6 km
Loppukorkeus: 83,6 km
Alkupiste: 60,229N 11,709E
Loppupiste: 60,064N 12,258E
Suunta: 120,9°
Kallistuskulma: 14,2°
Tulonopeus: 16,7 km/s
Radiantin R,A,: 00:02 (0,7°)
Radiantin Dekl,: 15,8°
Meteoriparvi: Sporadinen
Meteoroidin rataelementit:
Perihelietäisyys: 0,959 AU
Eksentrisyys: 0,909
Inklinaatio: 4,4°
Nousevan solmun pituus: 307,9°
Perihelin argumentti: 161,0°
Keskianomalia: 0,4°
Epookki: 2021 JAN 27 22:32:53
orbit plot

Ei-interaktiivinen kuvaaja | Interaktiivinen kuvaaja

position vs time
speed and acceleration