🇳🇴 🇬🇧 🇩🇪 🇨🇿 🇫🇮

Meteor, poloha: Vestbygd 2021-01-29 21:07:43 UTC

Soubor KML  |  InteraktivnĂ­ mapa

Mapa zobrazuje dráhy meteoru. Světlejší čáry ukazují směry od pozorovacích stanic při objevení se meteoru a tmavší čáry, kde byl naposledy viděn. Modrá šipka značí viditelnou dráhu meteoru.

static map
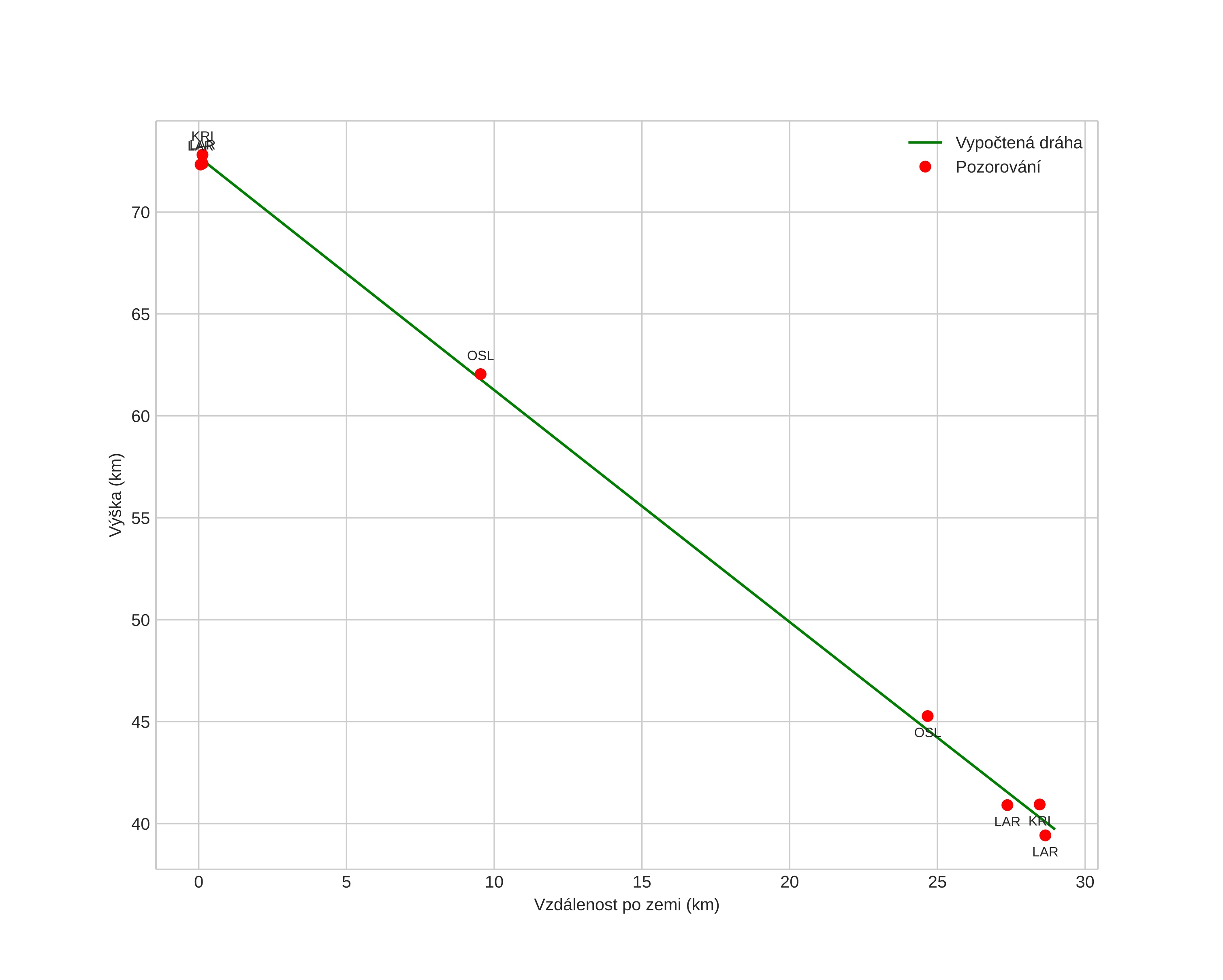
height profile
Atmosférická dráha meteoru:
Počáteční výška: 76,9 km
Konečná výška: 39,5 km
Počáteční poloha: 57,067N 6,084E
Konečná poloha: 57,358N 5,982E
Směr: 349,3°
Sklon: 48,6°
VstupnĂ­ rychlost: 15,1 km/s
Rektascenze radiantu: 06:36 (99,1°)
Deklinace radiantu: 7,8°
MeteorickĂ˝ roj: sporadickĂ˝
Elementy dráhy meteoroidu:
Vzdálenost v periheliu: 0,908 AU
Excentricita: 0,504
Sklon dráhy: 4,4°
Délka vzestupného uzlu: 129,9°
Argument perihelia: 40,0°
Střední anomálie: 348,0°
Epocha: 2021 JAN 29 21:07:43
orbit plot

NeinteraktivnĂ­ graf | InteraktivnĂ­ graf

position vs time
speed and acceleration