🇳🇴 🇬🇧 🇩🇪 🇨🇿 🇫🇮

Meteor über Vestbygd 2021-01-29 21:07:43 UTC

KML-Datei  |  Interaktive Karte

Die Karte zeigt die Peilungen für den Meteor. Die helleren Linien zeigen die Richtungen von den Beobachtungsorten beim Erscheinen des Meteors, und die dunkleren Linien, wo er zuletzt gesehen wurde. Der blaue Pfeil zeigt die sichtbare Bahn des Meteors.

static map
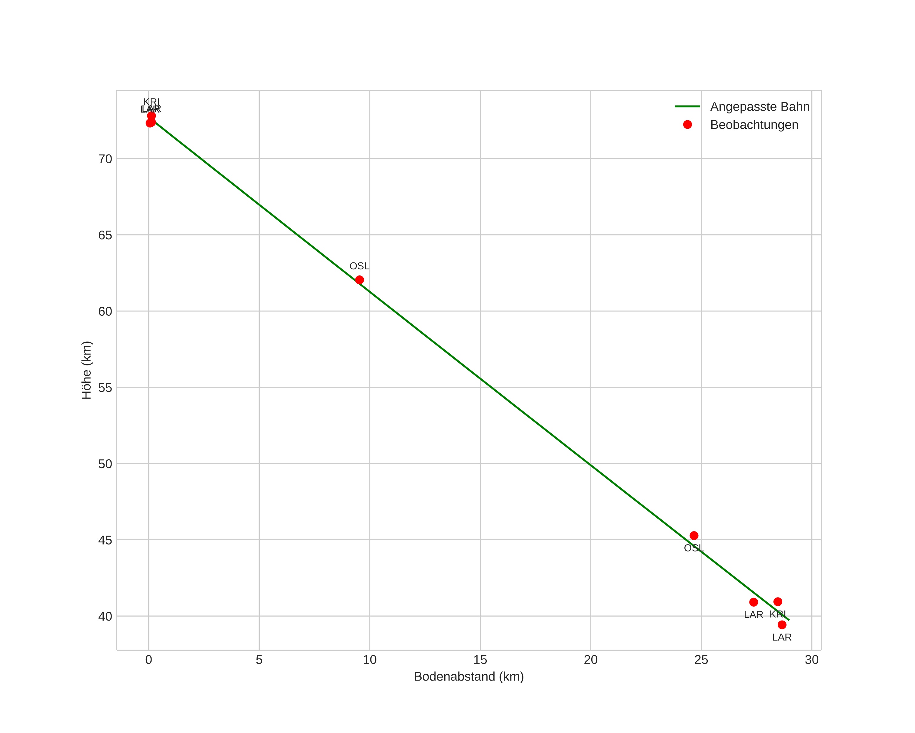
height profile
Atmosphärische Bahn des Meteors:
Anfangshöhe: 76,9 km
Endhöhe: 39,5 km
Startposition: 57,067N 6,084E
Endposition: 57,358N 5,982E
Richtung: 349,3°
Neigungswinkel: 48,6°
Eintrittsgeschwindigkeit: 15,1 km/s
Rektaszension des Radianten: 06:36 (99,1°)
Deklination des Radianten: 7,8°
Meteorstrom: sporadisch
Bahnelemente des Meteoroiden:
Periheldistanz: 0,908 AU
Exzentrizität: 0,504
Inklination: 4,4°
Länge des aufsteigenden Knotens: 129,9°
Argument des Perihels: 40,0°
Mittlere Anomalie: 348,0°
Epoche: 2021 JAN 29 21:07:43
orbit plot

Nicht-interaktives Diagramm | Interaktives Diagramm

position vs time
speed and acceleration