🇳🇴 🇬🇧 🇩🇪 🇨🇿 🇫🇮

Meteor, poloha: Fagernes 2021-01-29 21:17:26 UTC

Soubor KML  |  InteraktivnĂ­ mapa

Mapa zobrazuje dráhy meteoru. Světlejší čáry ukazují směry od pozorovacích stanic při objevení se meteoru a tmavší čáry, kde byl naposledy viděn. Modrá šipka značí viditelnou dráhu meteoru.

static map
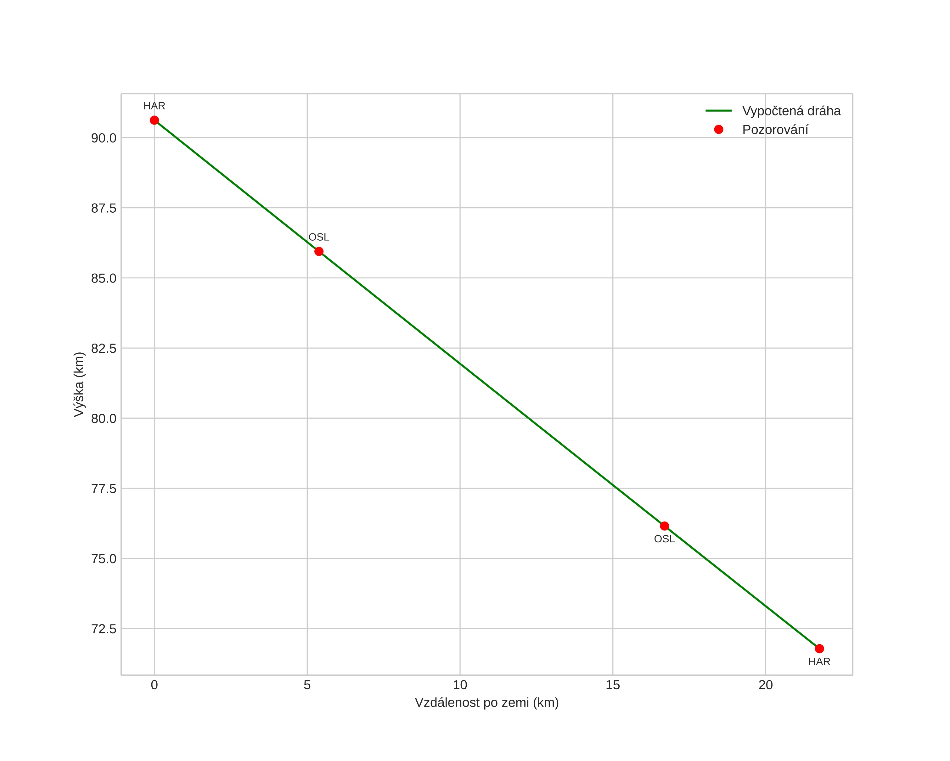
height profile
Atmosférická dráha meteoru:
Počáteční výška: 88,0 km
Konečná výška: 71,6 km
Počáteční poloha: 61,317N 9,362E
Konečná poloha: 61,155N 9,413E
Směr: 171,3°
Sklon: 42,0°
VstupnĂ­ rychlost: 21,5 km/s
Rektascenze radiantu: 19:46 (296,6°)
Deklinace radiantu: 66,0°
MeteorickĂ˝ roj: sporadickĂ˝
Elementy dráhy meteoroidu:
Vzdálenost v periheliu: 0,981 AU
Excentricita: 0,592
Sklon dráhy: 28,7°
Délka vzestupného uzlu: 309,9°
Argument perihelia: 172,0°
Střední anomálie: 1,7°
Epocha: 2021 JAN 29 21:17:26
orbit plot

NeinteraktivnĂ­ graf | InteraktivnĂ­ graf

position vs time
speed and acceleration