🇳🇴 🇬🇧 🇩🇪 🇨🇿 🇫🇮

Meteor Fagernesin yllä 2021-01-29 21:17:26 UTC

KML-tiedosto  |  Interaktiivinen kartta

Kartta näyttää meteorin suuntahavainnot. Vaaleammat viivat näyttävät suunnat havaintoasemilta meteorin ilmestyessä, ja tummemmat viivat näyttävät, missä se viimeksi nähtiin. Sininen nuoli näyttää meteorin näkyvän lennon.

static map
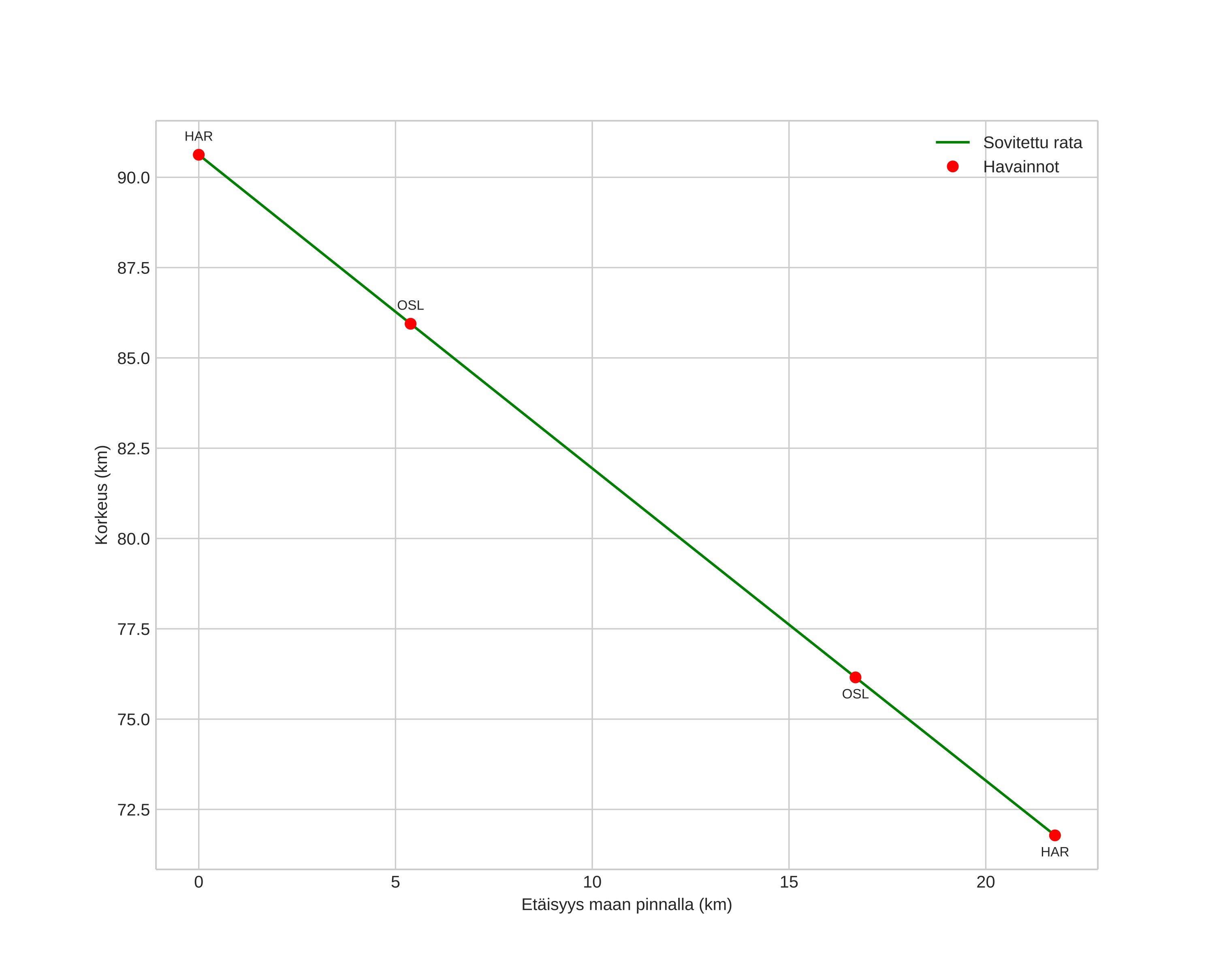
height profile
Meteorin ilmakehärata:
Alkukorkeus: 88,0 km
Loppukorkeus: 71,6 km
Alkupiste: 61,317N 9,362E
Loppupiste: 61,155N 9,413E
Suunta: 171,3°
Kallistuskulma: 42,0°
Tulonopeus: 21,5 km/s
Radiantin R,A,: 19:46 (296,6°)
Radiantin Dekl,: 66,0°
Meteoriparvi: Sporadinen
Meteoroidin rataelementit:
Perihelietäisyys: 0,981 AU
Eksentrisyys: 0,592
Inklinaatio: 28,7°
Nousevan solmun pituus: 309,9°
Perihelin argumentti: 172,0°
Keskianomalia: 1,7°
Epookki: 2021 JAN 29 21:17:26
orbit plot

Ei-interaktiivinen kuvaaja | Interaktiivinen kuvaaja

position vs time
speed and acceleration