🇳🇴 🇬🇧 🇩🇪 🇨🇿 🇫🇮

Meteor, poloha: Pajala 2021-01-30 00:29:23 UTC

Soubor KML  |  InteraktivnĂ­ mapa

Mapa zobrazuje dráhy meteoru. Světlejší čáry ukazují směry od pozorovacích stanic při objevení se meteoru a tmavší čáry, kde byl naposledy viděn. Modrá šipka značí viditelnou dráhu meteoru.

static map
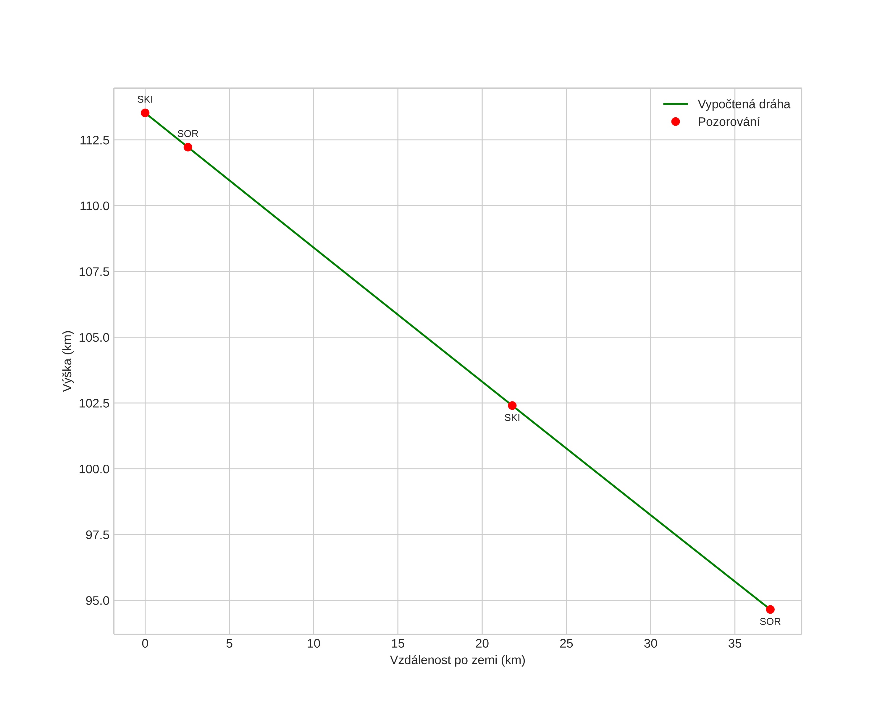
height profile
Atmosférická dráha meteoru:
Počáteční výška: 122,3 km
Konečná výška: 101,5 km
Počáteční poloha: 67,365N 23,120E
Konečná poloha: 67,330N 22,177E
Směr: 264,9°
Sklon: 27,1°
VstupnĂ­ rychlost: 63,3 km/s
Rektascenze radiantu: 16:12 (243,2°)
Deklinace radiantu: 26,4°
MeteorickĂ˝ roj: sporadickĂ˝
Elementy dráhy meteoroidu:
Vzdálenost v periheliu: 0,945 AU
Excentricita: 1,506
Sklon dráhy: 104,0°
Délka vzestupného uzlu: 310,0°
Argument perihelia: 158,8°
Střední anomálie: 5,0°
Epocha: 2021 JAN 30 00:29:23
orbit plot

NeinteraktivnĂ­ graf | InteraktivnĂ­ graf

position vs time
speed and acceleration