🇳🇴 🇬🇧 🇩🇪 🇨🇿 🇫🇮

Meteor Pajalan yllä 2021-01-30 00:29:23 UTC

KML-tiedosto  |  Interaktiivinen kartta

Kartta näyttää meteorin suuntahavainnot. Vaaleammat viivat näyttävät suunnat havaintoasemilta meteorin ilmestyessä, ja tummemmat viivat näyttävät, missä se viimeksi nähtiin. Sininen nuoli näyttää meteorin näkyvän lennon.

static map
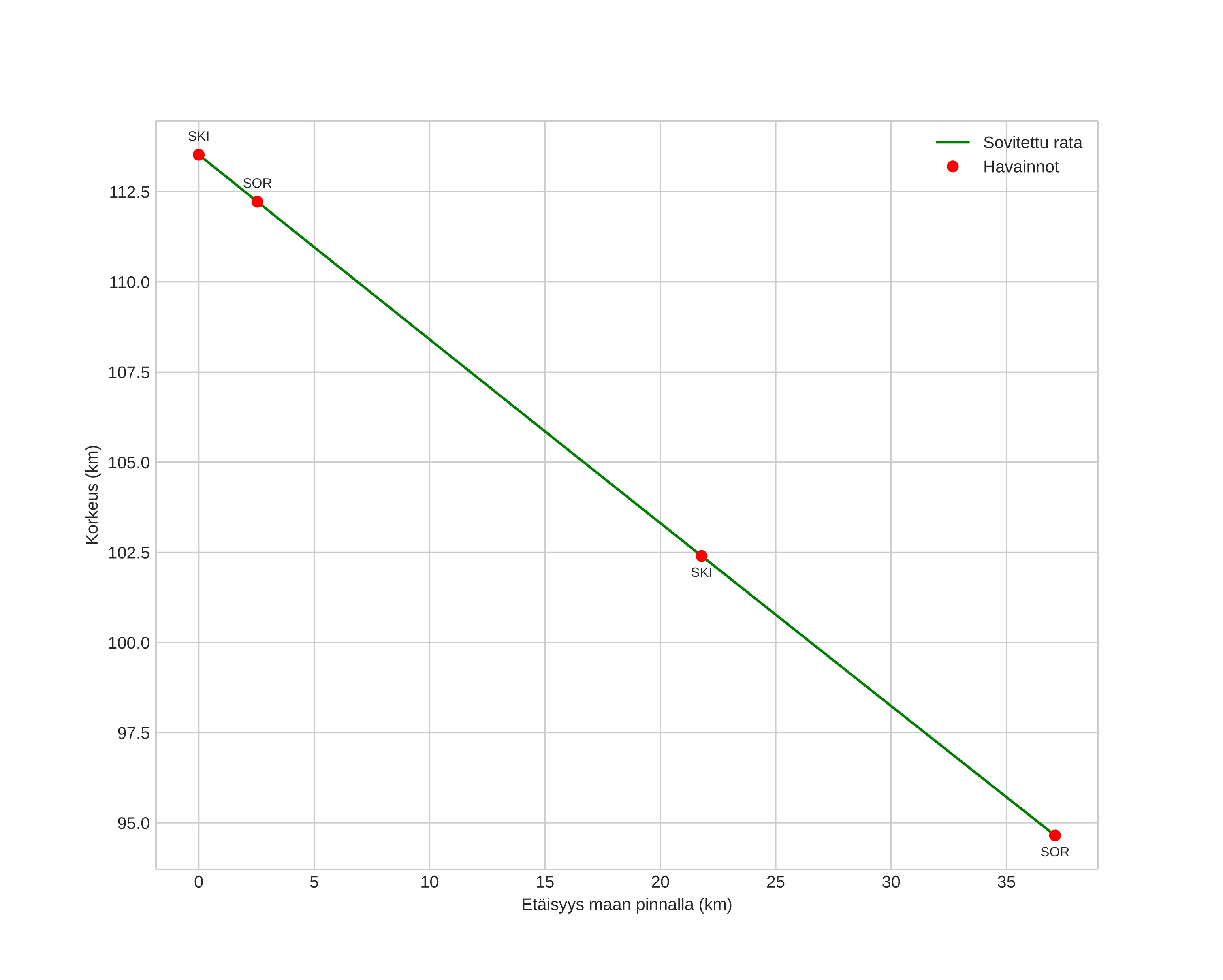
height profile
Meteorin ilmakehärata:
Alkukorkeus: 122,3 km
Loppukorkeus: 101,5 km
Alkupiste: 67,365N 23,120E
Loppupiste: 67,330N 22,177E
Suunta: 264,9°
Kallistuskulma: 27,1°
Tulonopeus: 63,3 km/s
Radiantin R,A,: 16:12 (243,2°)
Radiantin Dekl,: 26,4°
Meteoriparvi: Sporadinen
Meteoroidin rataelementit:
Perihelietäisyys: 0,945 AU
Eksentrisyys: 1,506
Inklinaatio: 104,0°
Nousevan solmun pituus: 310,0°
Perihelin argumentti: 158,8°
Keskianomalia: 5,0°
Epookki: 2021 JAN 30 00:29:23
orbit plot

Ei-interaktiivinen kuvaaja | Interaktiivinen kuvaaja

position vs time
speed and acceleration