🇳🇴 🇬🇧 🇩🇪 🇨🇿 🇫🇮

Meteor, poloha: Bergset 2021-01-30 04:54:24 UTC

Soubor KML  |  InteraktivnĂ­ mapa

Mapa zobrazuje dráhy meteoru. Světlejší čáry ukazují směry od pozorovacích stanic při objevení se meteoru a tmavší čáry, kde byl naposledy viděn. Modrá šipka značí viditelnou dráhu meteoru.

static map
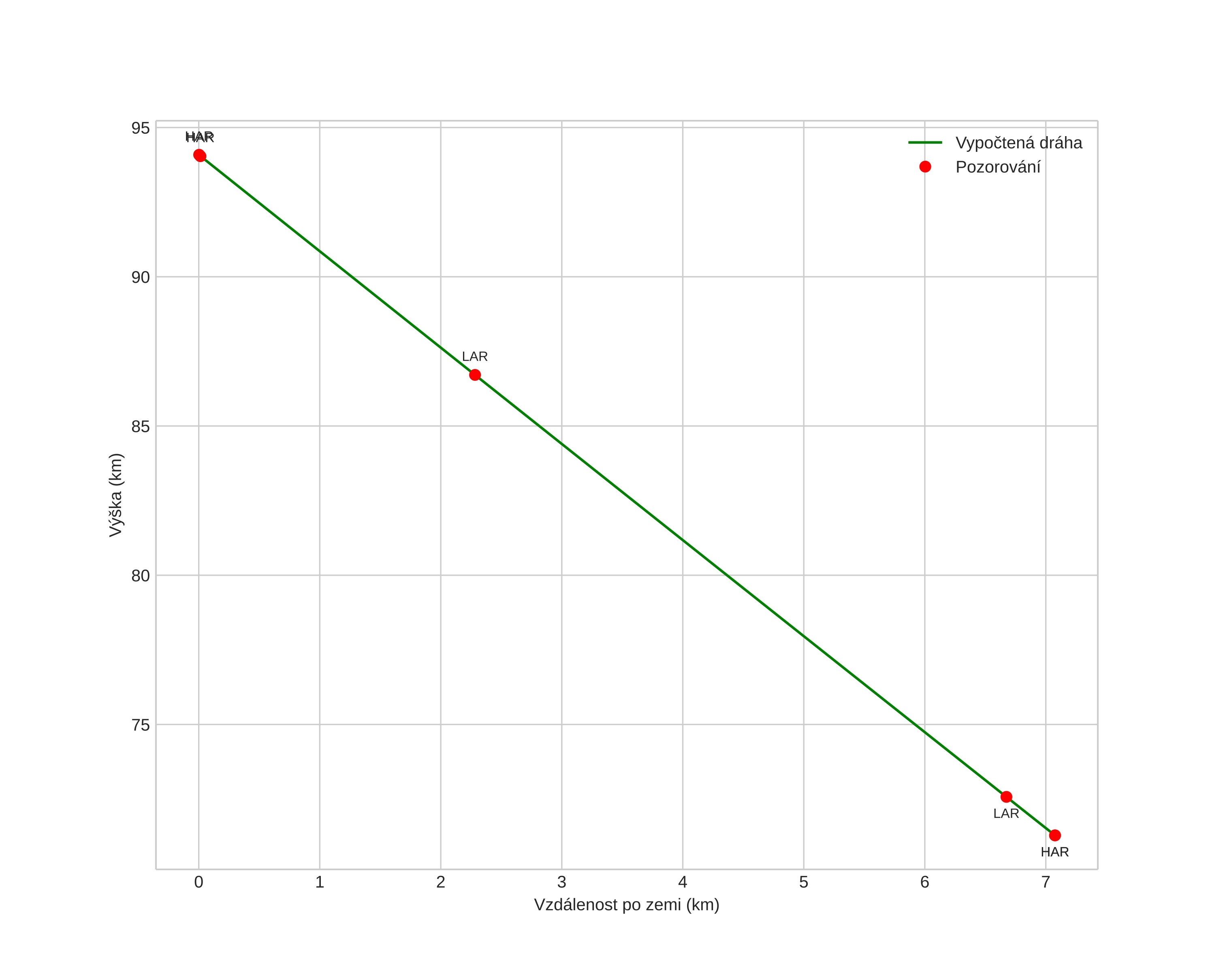
height profile
Atmosférická dráha meteoru:
Počáteční výška: 91,2 km
Konečná výška: 70,7 km
Počáteční poloha: 61,872N 11,233E
Konečná poloha: 61,856N 11,175E
Směr: 238,6°
Sklon: 80,1°
VstupnĂ­ rychlost: 25,2 km/s
Rektascenze radiantu: 15:40 (235,1°)
Deklinace radiantu: 65,9°
MeteorickĂ˝ roj: sporadickĂ˝
Elementy dráhy meteoroidu:
Vzdálenost v periheliu: 0,960 AU
Excentricita: 0,377
Sklon dráhy: 39,1°
Délka vzestupného uzlu: 310,2°
Argument perihelia: 205,0°
Střední anomálie: 349,3°
Epocha: 2021 JAN 30 04:54:24
orbit plot

NeinteraktivnĂ­ graf | InteraktivnĂ­ graf

position vs time
speed and acceleration