🇳🇴 🇬🇧 🇩🇪 🇨🇿 🇫🇮

Meteor Bergsetin yllä 2021-01-30 04:54:24 UTC

KML-tiedosto  |  Interaktiivinen kartta

Kartta näyttää meteorin suuntahavainnot. Vaaleammat viivat näyttävät suunnat havaintoasemilta meteorin ilmestyessä, ja tummemmat viivat näyttävät, missä se viimeksi nähtiin. Sininen nuoli näyttää meteorin näkyvän lennon.

static map
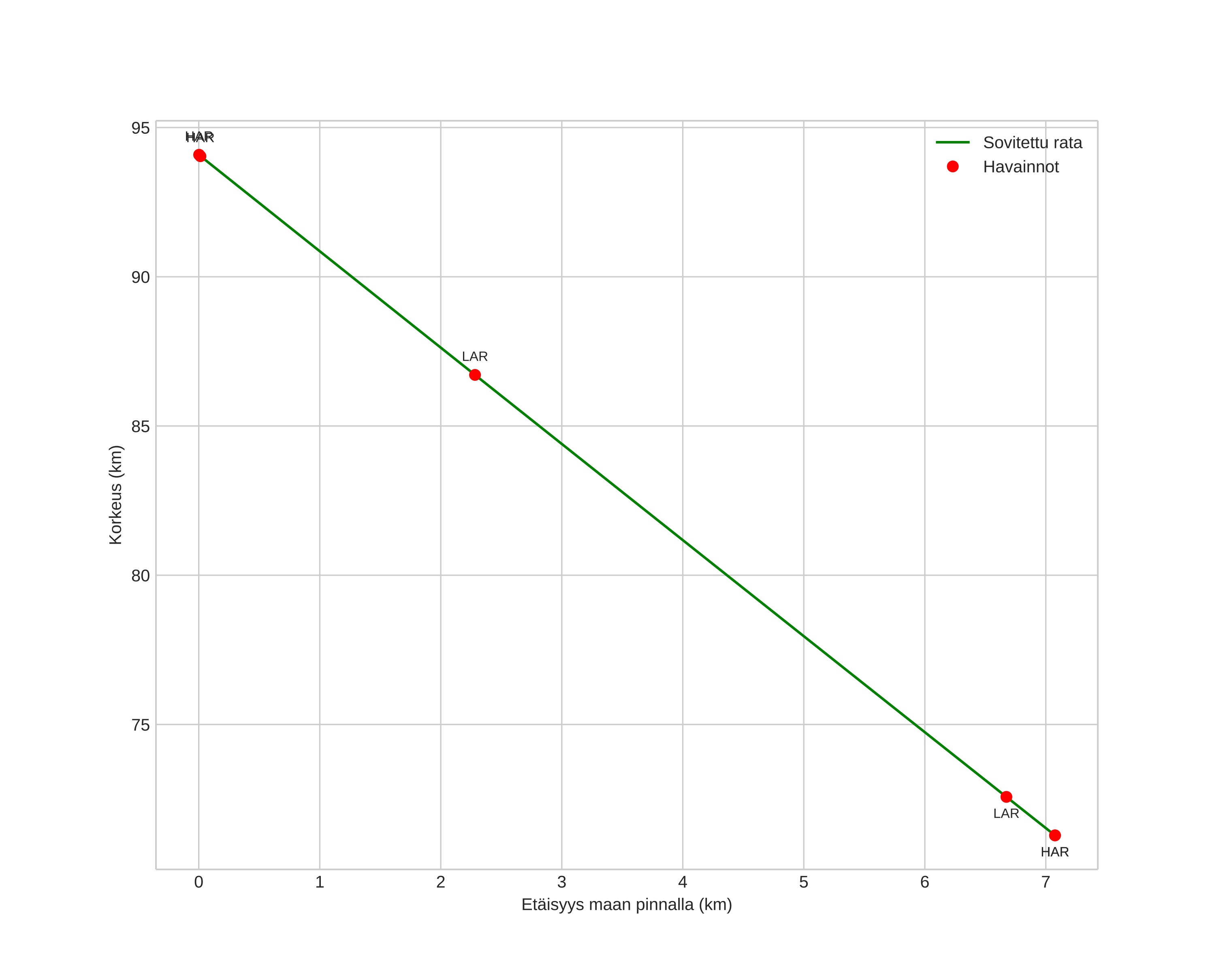
height profile
Meteorin ilmakehärata:
Alkukorkeus: 91,2 km
Loppukorkeus: 70,7 km
Alkupiste: 61,872N 11,233E
Loppupiste: 61,856N 11,175E
Suunta: 238,6°
Kallistuskulma: 80,1°
Tulonopeus: 25,2 km/s
Radiantin R,A,: 15:40 (235,1°)
Radiantin Dekl,: 65,9°
Meteoriparvi: Sporadinen
Meteoroidin rataelementit:
Perihelietäisyys: 0,960 AU
Eksentrisyys: 0,377
Inklinaatio: 39,1°
Nousevan solmun pituus: 310,2°
Perihelin argumentti: 205,0°
Keskianomalia: 349,3°
Epookki: 2021 JAN 30 04:54:24
orbit plot

Ei-interaktiivinen kuvaaja | Interaktiivinen kuvaaja

position vs time
speed and acceleration