🇳🇴 🇬🇧 🇩🇪 🇨🇿 🇫🇮

Meteor, poloha: Hatteng 2021-01-31 19:03:52 UTC

Soubor KML  |  InteraktivnĂ­ mapa

Mapa zobrazuje dráhy meteoru. Světlejší čáry ukazují směry od pozorovacích stanic při objevení se meteoru a tmavší čáry, kde byl naposledy viděn. Modrá šipka značí viditelnou dráhu meteoru.

static map
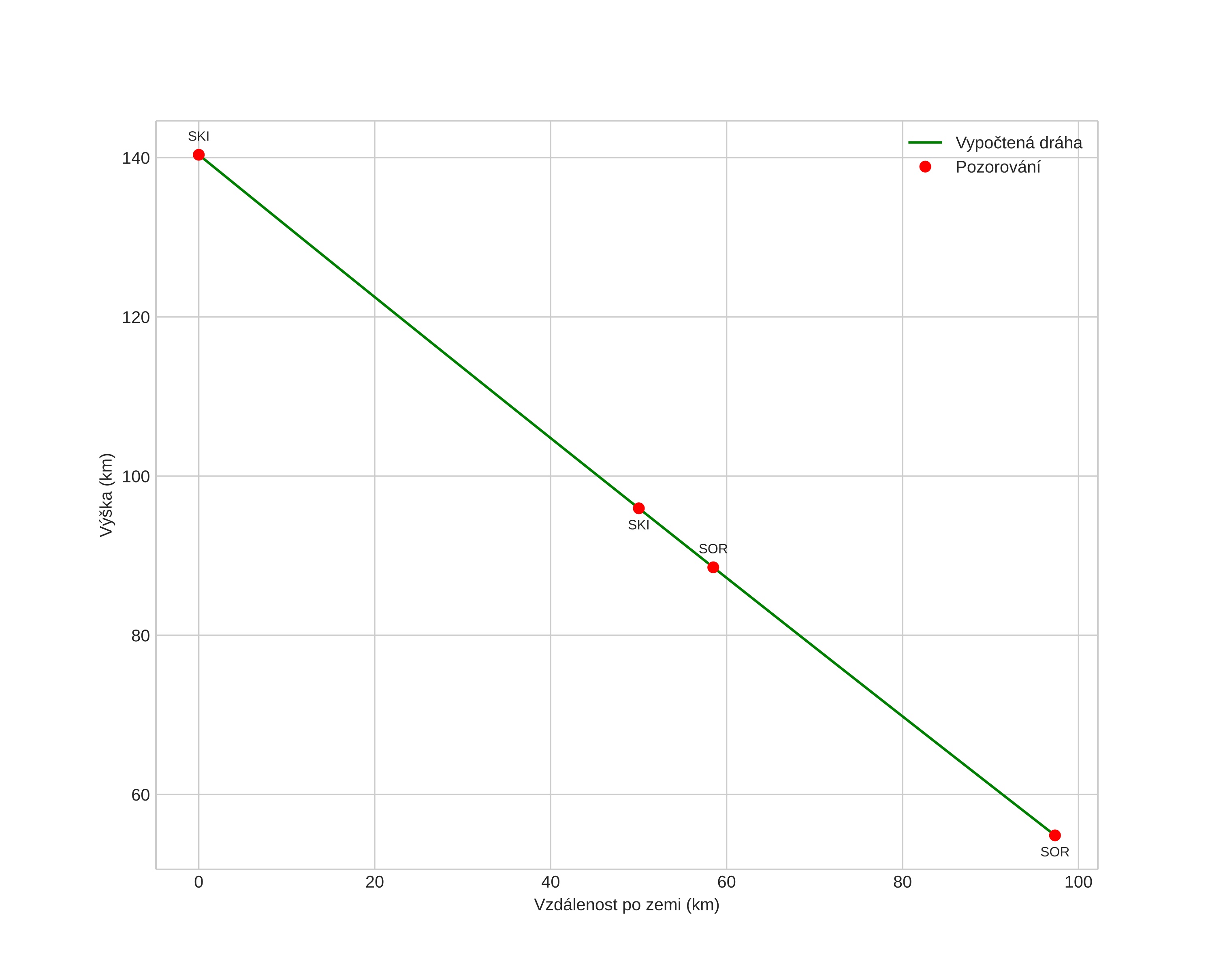
height profile
Atmosférická dráha meteoru:
Počáteční výška: 132,8 km
Konečná výška: 54,8 km
Počáteční poloha: 69,726N 19,251E
Konečná poloha: 68,961N 19,914E
Směr: 162,7°
Sklon: 41,2°
VstupnĂ­ rychlost: 45,7 km/s
Rektascenze radiantu: 18:52 (283,1°)
Deklinace radiantu: 59,3°
MeteorickĂ˝ roj: sporadickĂ˝
Elementy dráhy meteoroidu:
Vzdálenost v periheliu: 0,972 AU
Excentricita: 2,218
Sklon dráhy: 55,0°
Délka vzestupného uzlu: 311,8°
Argument perihelia: 168,5°
Střední anomálie: 8,7°
Epocha: 2021 JAN 31 19:03:52
orbit plot

NeinteraktivnĂ­ graf | InteraktivnĂ­ graf

position vs time
speed and acceleration