🇳🇴 🇬🇧 🇩🇪 🇨🇿 🇫🇮

Meteor Hattengin yllä 2021-01-31 19:03:52 UTC

KML-tiedosto  |  Interaktiivinen kartta

Kartta näyttää meteorin suuntahavainnot. Vaaleammat viivat näyttävät suunnat havaintoasemilta meteorin ilmestyessä, ja tummemmat viivat näyttävät, missä se viimeksi nähtiin. Sininen nuoli näyttää meteorin näkyvän lennon.

static map
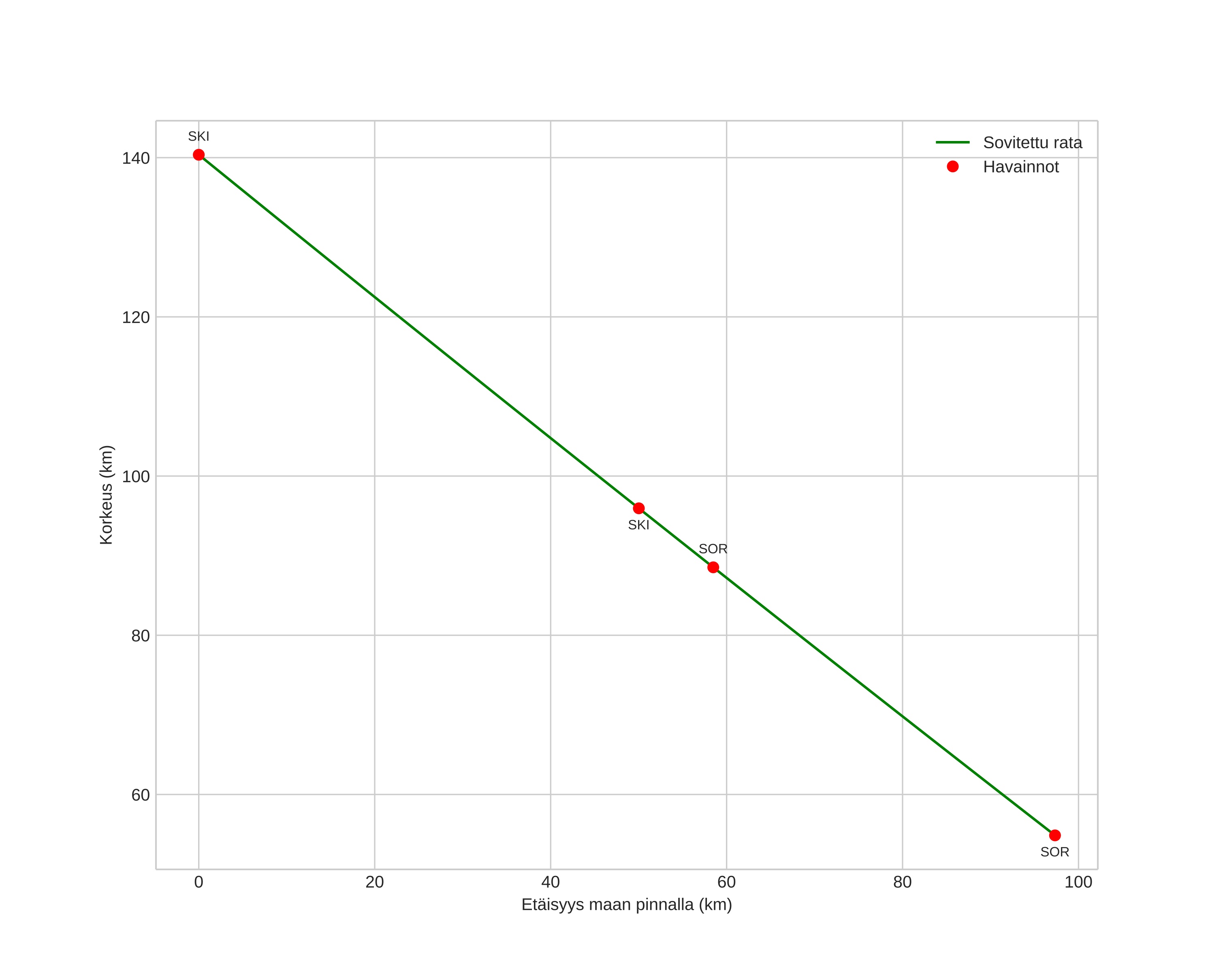
height profile
Meteorin ilmakehärata:
Alkukorkeus: 132,8 km
Loppukorkeus: 54,8 km
Alkupiste: 69,726N 19,251E
Loppupiste: 68,961N 19,914E
Suunta: 162,7°
Kallistuskulma: 41,2°
Tulonopeus: 45,7 km/s
Radiantin R,A,: 18:52 (283,1°)
Radiantin Dekl,: 59,3°
Meteoriparvi: Sporadinen
Meteoroidin rataelementit:
Perihelietäisyys: 0,972 AU
Eksentrisyys: 2,218
Inklinaatio: 55,0°
Nousevan solmun pituus: 311,8°
Perihelin argumentti: 168,5°
Keskianomalia: 8,7°
Epookki: 2021 JAN 31 19:03:52
orbit plot

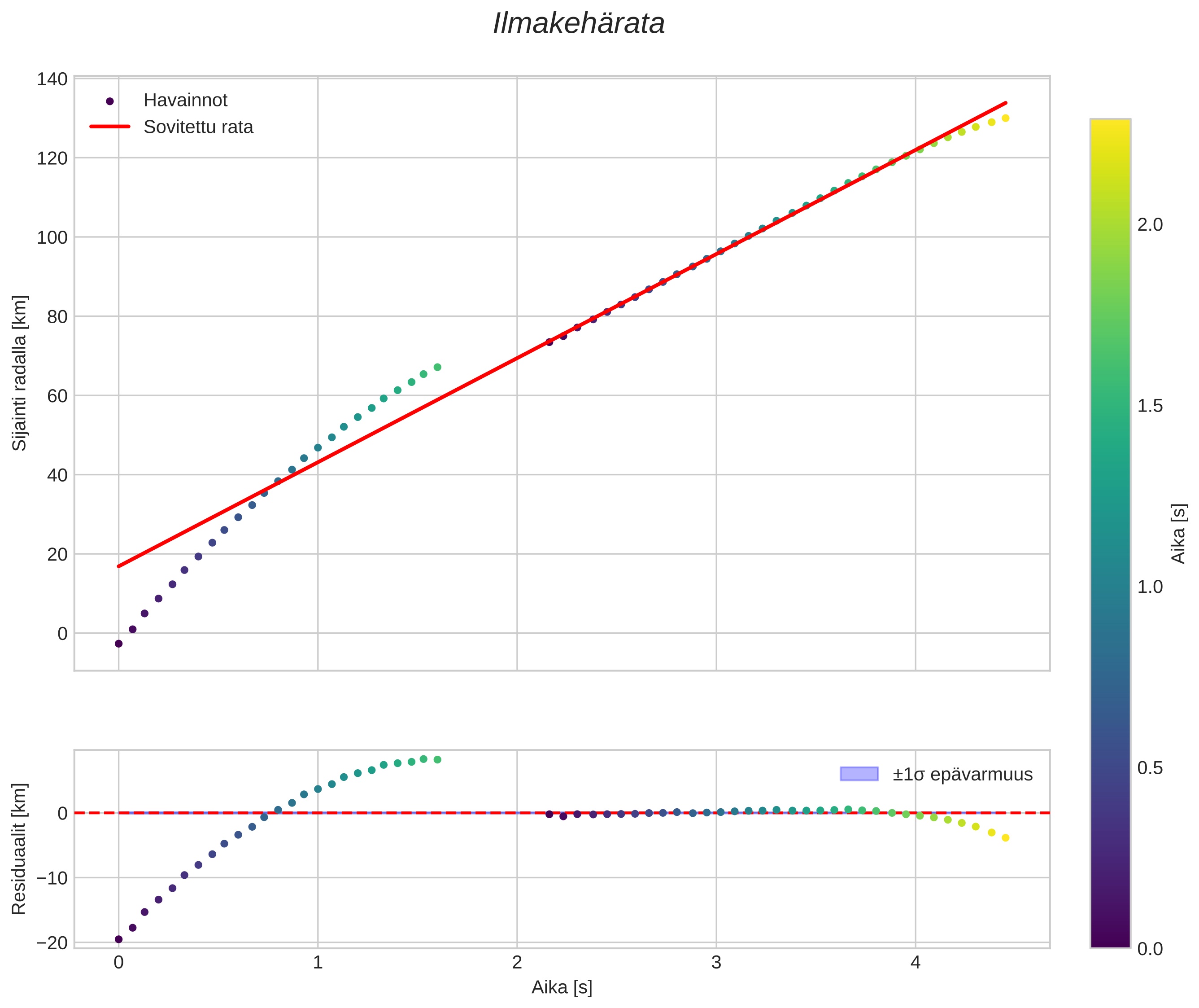
Ei-interaktiivinen kuvaaja | Interaktiivinen kuvaaja

position vs time
speed and acceleration