🇳🇴 🇬🇧 🇩🇪 🇨🇿 🇫🇮

Meteor, poloha: Olderdalen 2021-02-02 03:33:09 UTC

Soubor KML  |  InteraktivnĂ­ mapa

Mapa zobrazuje dráhy meteoru. Světlejší čáry ukazují směry od pozorovacích stanic při objevení se meteoru a tmavší čáry, kde byl naposledy viděn. Modrá šipka značí viditelnou dráhu meteoru.

static map
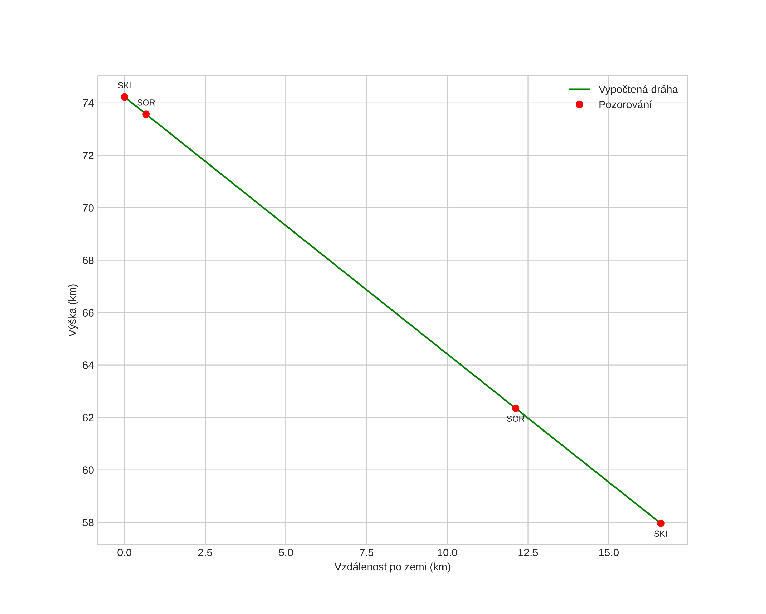
height profile
Atmosférická dráha meteoru:
Počáteční výška: 74,2 km
Konečná výška: 59,3 km
Počáteční poloha: 69,666N 20,290E
Konečná poloha: 69,545N 20,482E
Směr: 150,8°
Sklon: 44,1°
VstupnĂ­ rychlost: 25,0 km/s
Rektascenze radiantu: 04:39 (69,9°)
Deklinace radiantu: 57,8°
MeteorickĂ˝ roj: sporadickĂ˝
Elementy dráhy meteoroidu:
Vzdálenost v periheliu: 0,951 AU
Excentricita: 1,573
Sklon dráhy: 15,9°
Délka vzestupného uzlu: 313,2°
Argument perihelia: 199,4°
Střední anomálie: -5,4°
Epocha: 2021 FEB 02 03:33:09
orbit plot

NeinteraktivnĂ­ graf | InteraktivnĂ­ graf

position vs time
speed and acceleration