🇳🇴 🇬🇧 🇩🇪 🇨🇿 🇫🇮

Meteor Olderdalenin yllä 2021-02-02 03:33:09 UTC

KML-tiedosto  |  Interaktiivinen kartta

Kartta näyttää meteorin suuntahavainnot. Vaaleammat viivat näyttävät suunnat havaintoasemilta meteorin ilmestyessä, ja tummemmat viivat näyttävät, missä se viimeksi nähtiin. Sininen nuoli näyttää meteorin näkyvän lennon.

static map
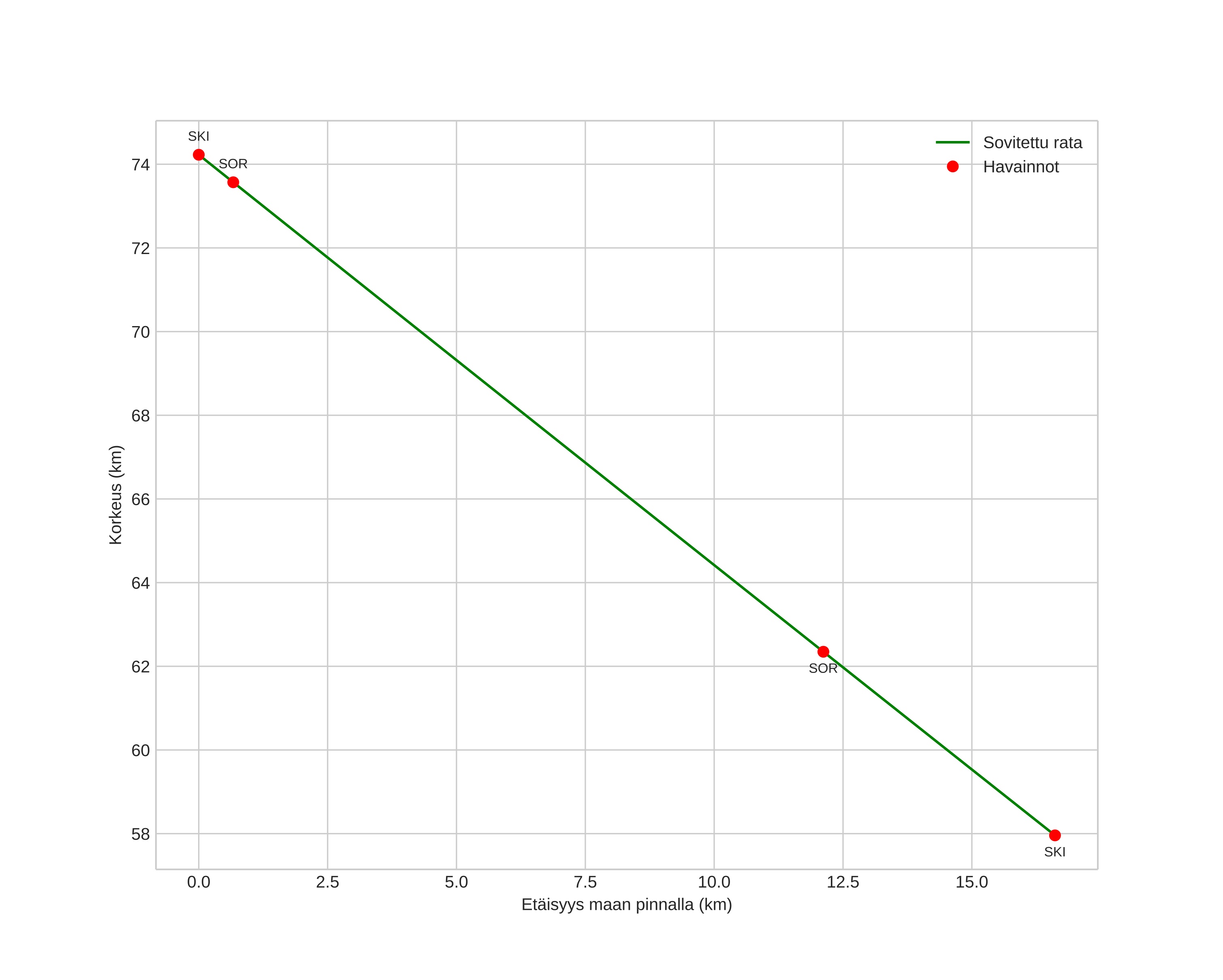
height profile
Meteorin ilmakehärata:
Alkukorkeus: 74,2 km
Loppukorkeus: 59,3 km
Alkupiste: 69,666N 20,290E
Loppupiste: 69,545N 20,482E
Suunta: 150,8°
Kallistuskulma: 44,1°
Tulonopeus: 25,0 km/s
Radiantin R,A,: 04:39 (69,9°)
Radiantin Dekl,: 57,8°
Meteoriparvi: Sporadinen
Meteoroidin rataelementit:
Perihelietäisyys: 0,951 AU
Eksentrisyys: 1,573
Inklinaatio: 15,9°
Nousevan solmun pituus: 313,2°
Perihelin argumentti: 199,4°
Keskianomalia: -5,4°
Epookki: 2021 FEB 02 03:33:09
orbit plot

Ei-interaktiivinen kuvaaja | Interaktiivinen kuvaaja

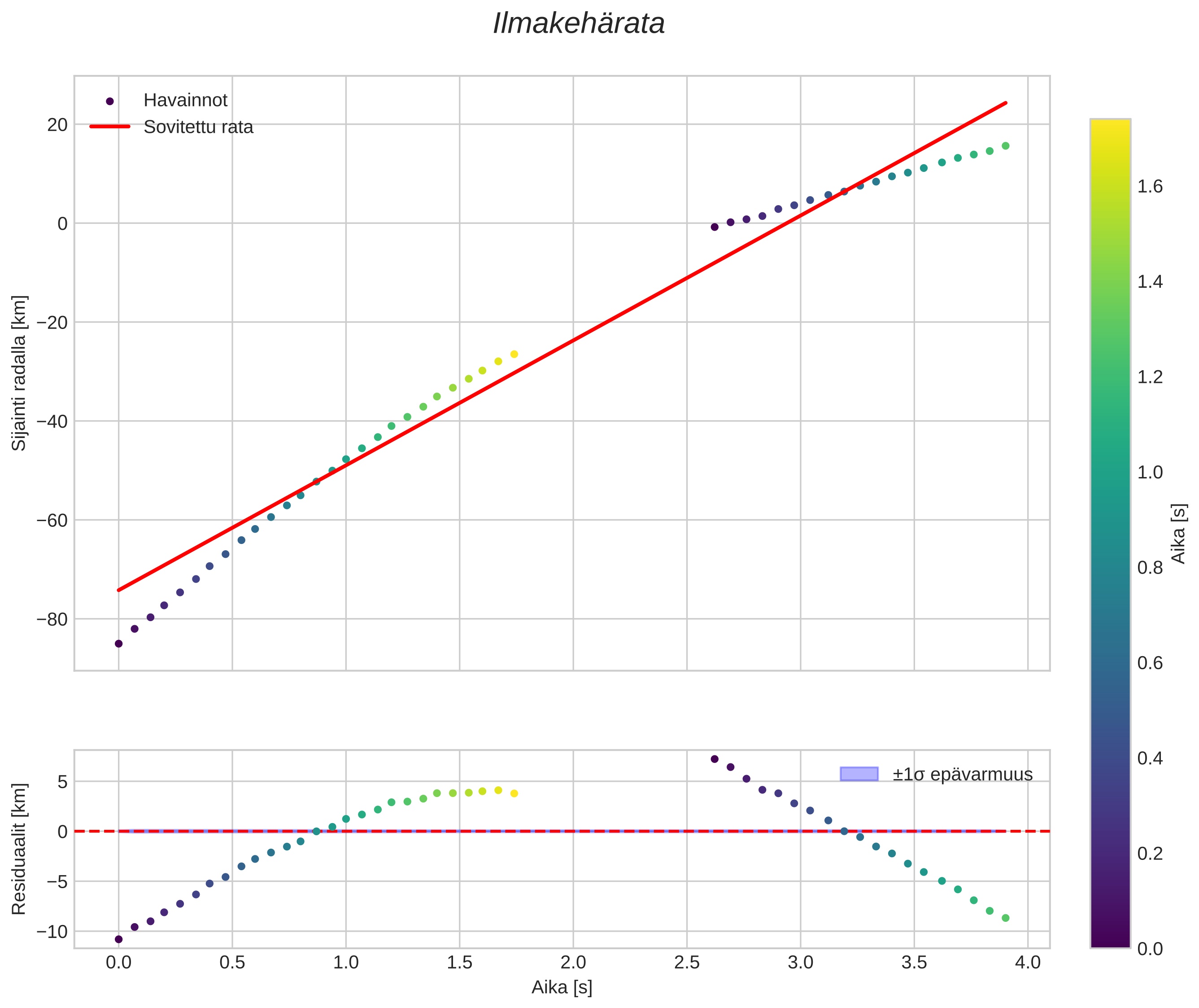
position vs time
speed and acceleration