🇳🇴 🇬🇧 🇩🇪 🇨🇿 🇫🇮

Meteor, poloha: Nossebro 2021-02-03 23:02:46 UTC

Soubor KML  |  InteraktivnĂ­ mapa

Mapa zobrazuje dráhy meteoru. Světlejší čáry ukazují směry od pozorovacích stanic při objevení se meteoru a tmavší čáry, kde byl naposledy viděn. Modrá šipka značí viditelnou dráhu meteoru.

static map
height profile
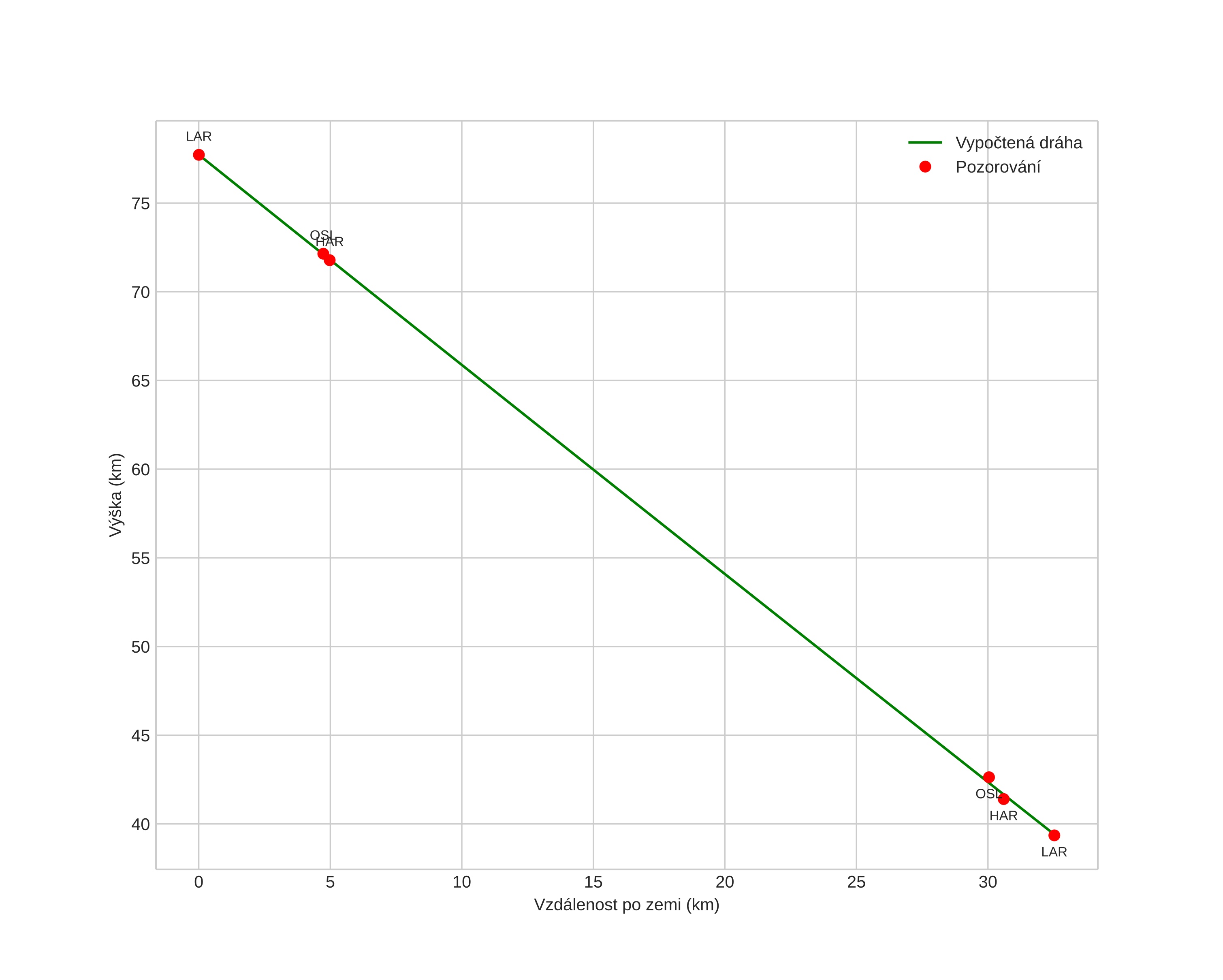
Atmosférická dráha meteoru:
Počáteční výška: 77,8 km
Konečná výška: 39,0 km
Počáteční poloha: 57,921N 12,334E
Konečná poloha: 58,157N 12,672E
Směr: 37,0°
Sklon: 49,7°
VstupnĂ­ rychlost: 16,1 km/s
Rektascenze radiantu: 06:55 (104,0°)
Deklinace radiantu: 15,3°
MeteorickĂ˝ roj: sporadickĂ˝
Elementy dráhy meteoroidu:
Vzdálenost v periheliu: 0,899 AU
Excentricita: 0,612
Sklon dráhy: 2,4°
Délka vzestupného uzlu: 135,1°
Argument perihelia: 39,9°
Střední anomálie: 351,9°
Epocha: 2021 FEB 03 23:02:46
orbit plot

NeinteraktivnĂ­ graf | InteraktivnĂ­ graf

position vs time
speed and acceleration