🇳🇴 🇬🇧 🇩🇪 🇨🇿 🇫🇮

Meteor Nossebron yllä 2021-02-03 23:02:46 UTC

KML-tiedosto  |  Interaktiivinen kartta

Kartta näyttää meteorin suuntahavainnot. Vaaleammat viivat näyttävät suunnat havaintoasemilta meteorin ilmestyessä, ja tummemmat viivat näyttävät, missä se viimeksi nähtiin. Sininen nuoli näyttää meteorin näkyvän lennon.

static map
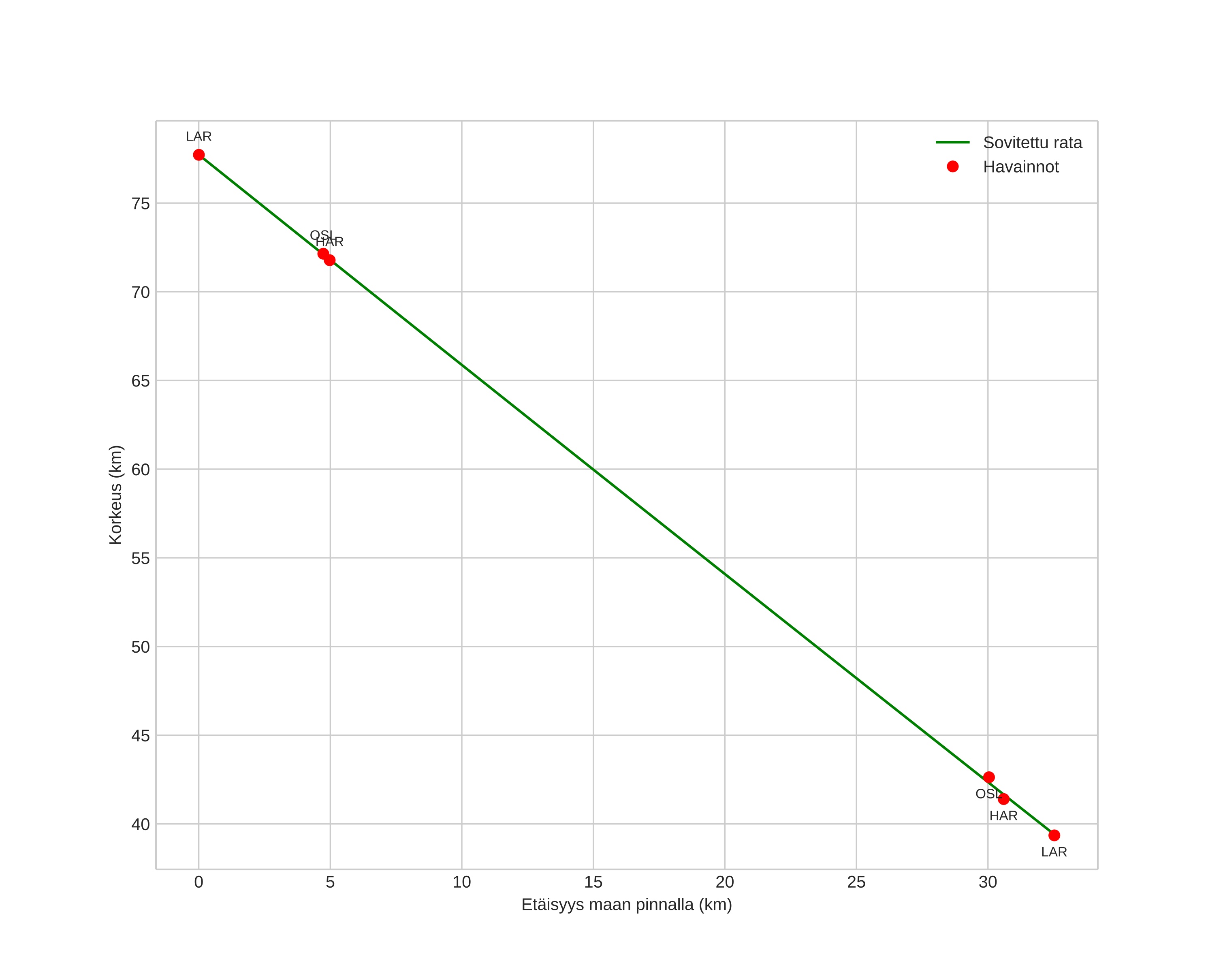
height profile
Meteorin ilmakehärata:
Alkukorkeus: 77,8 km
Loppukorkeus: 39,0 km
Alkupiste: 57,921N 12,334E
Loppupiste: 58,157N 12,672E
Suunta: 37,0°
Kallistuskulma: 49,7°
Tulonopeus: 16,1 km/s
Radiantin R,A,: 06:55 (104,0°)
Radiantin Dekl,: 15,3°
Meteoriparvi: Sporadinen
Meteoroidin rataelementit:
Perihelietäisyys: 0,899 AU
Eksentrisyys: 0,612
Inklinaatio: 2,4°
Nousevan solmun pituus: 135,1°
Perihelin argumentti: 39,9°
Keskianomalia: 351,9°
Epookki: 2021 FEB 03 23:02:46
orbit plot

Ei-interaktiivinen kuvaaja | Interaktiivinen kuvaaja

position vs time
speed and acceleration