🇳🇴 🇬🇧 🇩🇪 🇨🇿 🇫🇮

Meteor, poloha: Sandane 2021-02-06 19:58:09 UTC

Soubor KML  |  InteraktivnĂ­ mapa

Mapa zobrazuje dráhy meteoru. Světlejší čáry ukazují směry od pozorovacích stanic při objevení se meteoru a tmavší čáry, kde byl naposledy viděn. Modrá šipka značí viditelnou dráhu meteoru.

static map
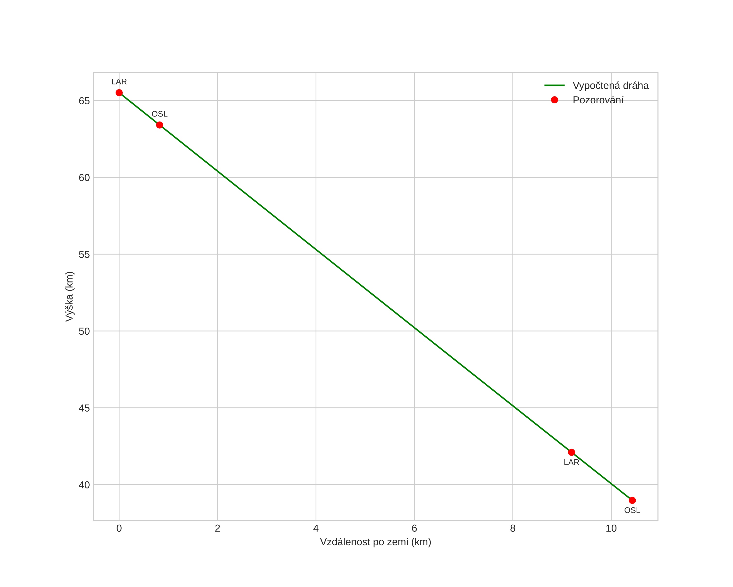
height profile
Atmosférická dráha meteoru:
Počáteční výška: 67,6 km
Konečná výška: 41,4 km
Počáteční poloha: 61,704N 6,394E
Konečná poloha: 61,814N 6,272E
Směr: 332,4°
Sklon: 62,2°
VstupnĂ­ rychlost: 14,3 km/s
Rektascenze radiantu: 06:35 (98,9°)
Deklinace radiantu: 29,5°
MeteorickĂ˝ roj: sporadickĂ˝
Elementy dráhy meteoroidu:
Vzdálenost v periheliu: 0,940 AU
Excentricita: 0,504
Sklon dráhy: 1,5°
Délka vzestupného uzlu: 317,9°
Argument perihelia: 210,7°
Střední anomálie: 351,0°
Epocha: 2021 FEB 06 19:58:09
orbit plot

NeinteraktivnĂ­ graf | InteraktivnĂ­ graf

position vs time
speed and acceleration