🇳🇴 🇬🇧 🇩🇪 🇨🇿 🇫🇮

Meteor Sandanen yllä 2021-02-06 19:58:09 UTC

KML-tiedosto  |  Interaktiivinen kartta

Kartta näyttää meteorin suuntahavainnot. Vaaleammat viivat näyttävät suunnat havaintoasemilta meteorin ilmestyessä, ja tummemmat viivat näyttävät, missä se viimeksi nähtiin. Sininen nuoli näyttää meteorin näkyvän lennon.

static map
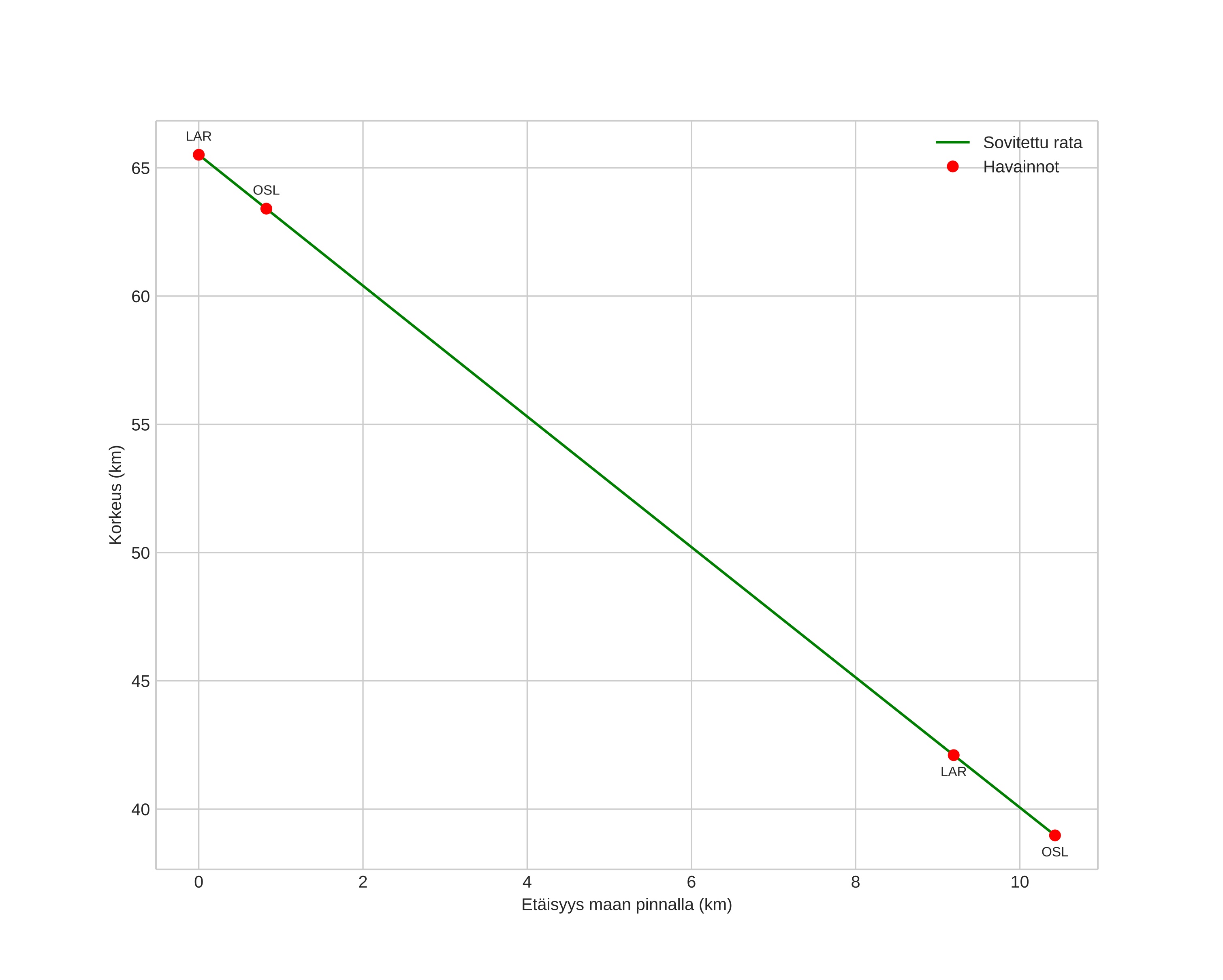
height profile
Meteorin ilmakehärata:
Alkukorkeus: 67,6 km
Loppukorkeus: 41,4 km
Alkupiste: 61,704N 6,394E
Loppupiste: 61,814N 6,272E
Suunta: 332,4°
Kallistuskulma: 62,2°
Tulonopeus: 14,3 km/s
Radiantin R,A,: 06:35 (98,9°)
Radiantin Dekl,: 29,5°
Meteoriparvi: Sporadinen
Meteoroidin rataelementit:
Perihelietäisyys: 0,940 AU
Eksentrisyys: 0,504
Inklinaatio: 1,5°
Nousevan solmun pituus: 317,9°
Perihelin argumentti: 210,7°
Keskianomalia: 351,0°
Epookki: 2021 FEB 06 19:58:09
orbit plot

Ei-interaktiivinen kuvaaja | Interaktiivinen kuvaaja

position vs time
speed and acceleration