🇳🇴 🇬🇧 🇩🇪 🇨🇿 🇫🇮

Meteor, poloha: SkĂĄre 2021-02-06 22:31:18 UTC

Soubor KML  |  InteraktivnĂ­ mapa

Mapa zobrazuje dráhy meteoru. Světlejší čáry ukazují směry od pozorovacích stanic při objevení se meteoru a tmavší čáry, kde byl naposledy viděn. Modrá šipka značí viditelnou dráhu meteoru.

static map
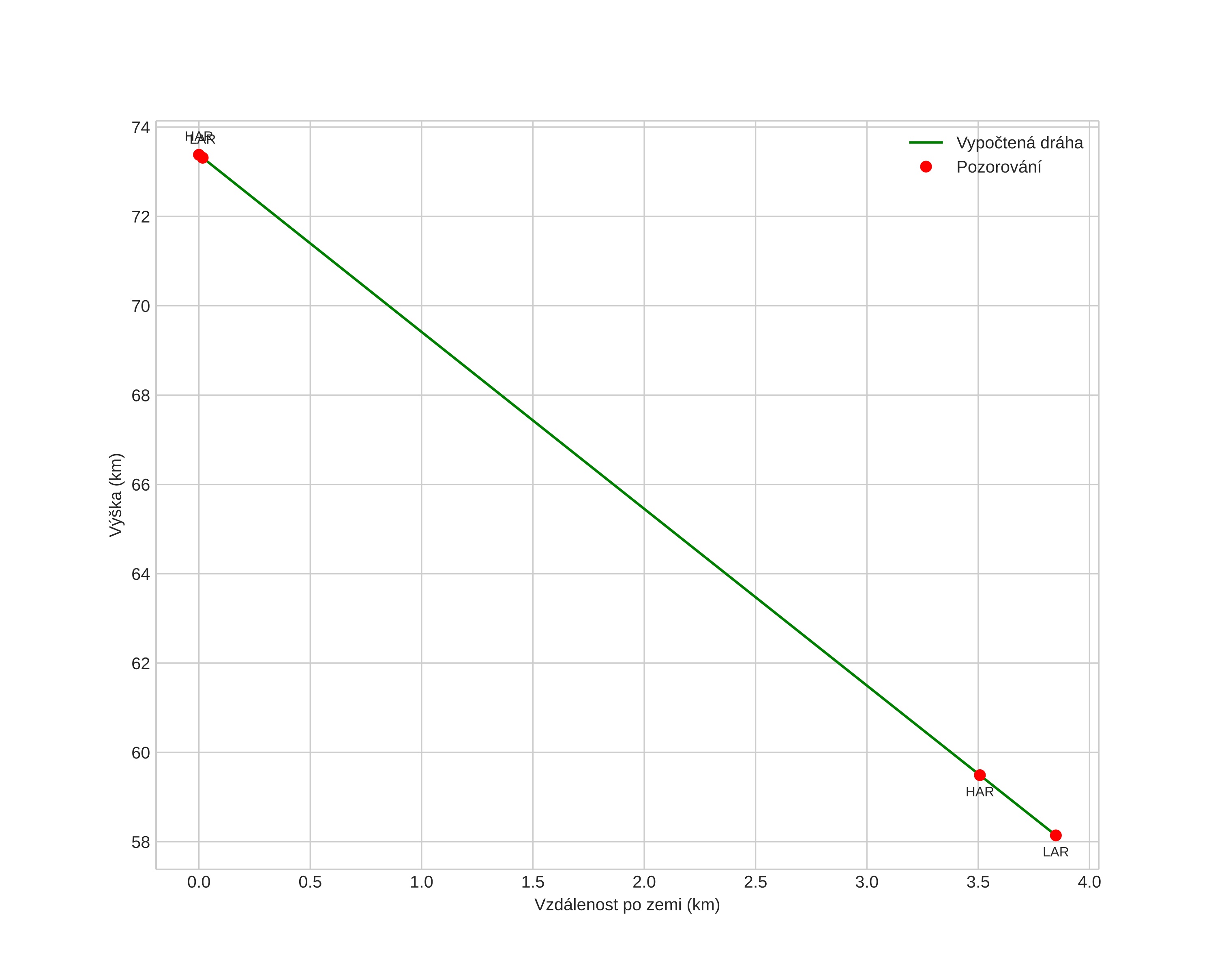
height profile
Atmosférická dráha meteoru:
Počáteční výška: 74,2 km
Konečná výška: 59,2 km
Počáteční poloha: 59,413N 13,426E
Konečná poloha: 59,436N 13,370E
Směr: 308,4°
Sklon: 75,1°
VstupnĂ­ rychlost: 15,9 km/s
Rektascenze radiantu: 09:46 (146,6°)
Deklinace radiantu: 46,8°
MeteorickĂ˝ roj: sporadickĂ˝
Elementy dráhy meteoroidu:
Vzdálenost v periheliu: 0,820 AU
Excentricita: 0,350
Sklon dráhy: 10,6°
Délka vzestupného uzlu: 318,1°
Argument perihelia: 249,6°
Střední anomálie: 324,2°
Epocha: 2021 FEB 06 22:31:18
orbit plot

NeinteraktivnĂ­ graf | InteraktivnĂ­ graf

position vs time
speed and acceleration