🇳🇴 🇬🇧 🇩🇪 🇨🇿 🇫🇮

Meteor Skåren yllä 2021-02-06 22:31:18 UTC

KML-tiedosto  |  Interaktiivinen kartta

Kartta näyttää meteorin suuntahavainnot. Vaaleammat viivat näyttävät suunnat havaintoasemilta meteorin ilmestyessä, ja tummemmat viivat näyttävät, missä se viimeksi nähtiin. Sininen nuoli näyttää meteorin näkyvän lennon.

static map
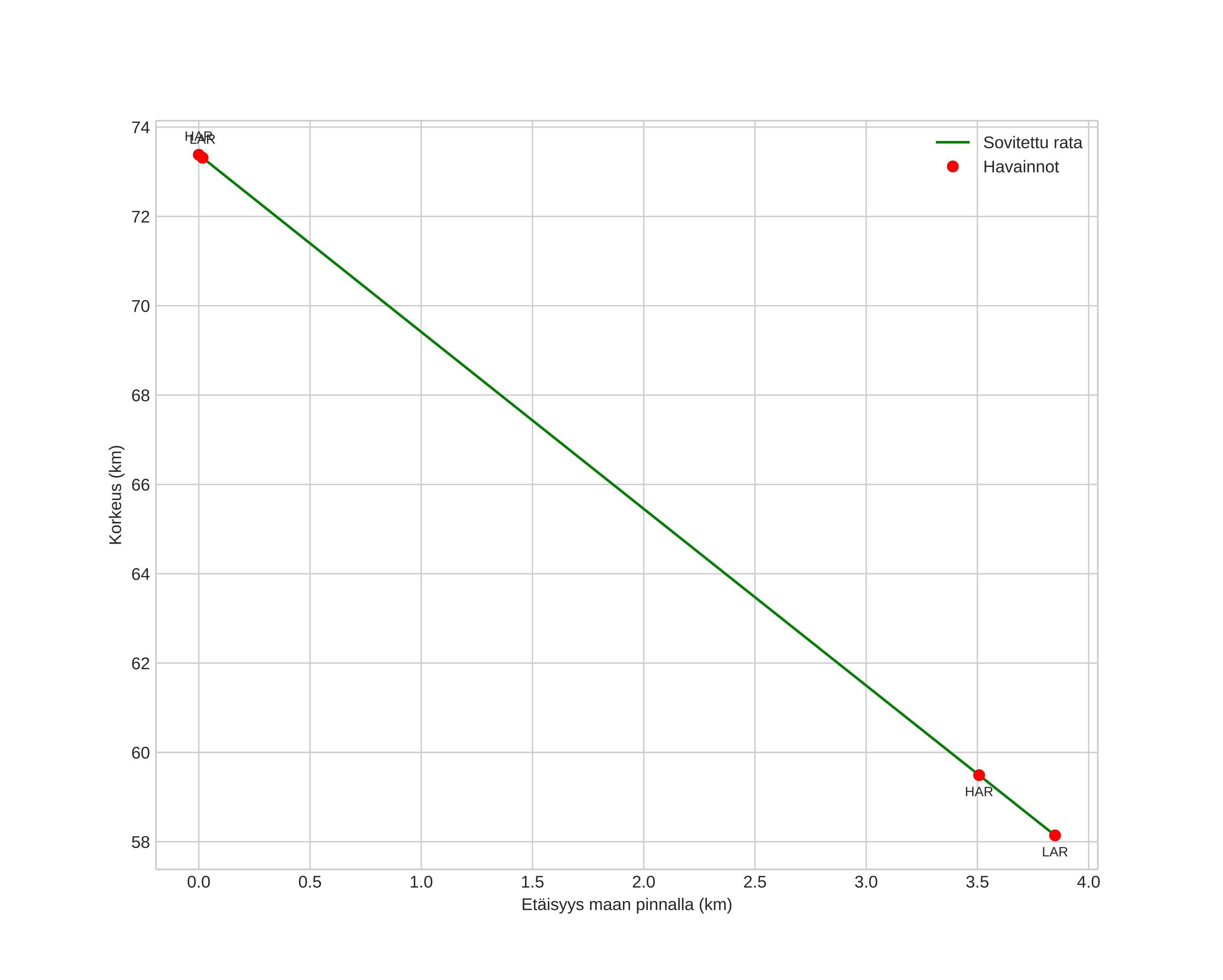
height profile
Meteorin ilmakehärata:
Alkukorkeus: 74,2 km
Loppukorkeus: 59,2 km
Alkupiste: 59,413N 13,426E
Loppupiste: 59,436N 13,370E
Suunta: 308,4°
Kallistuskulma: 75,1°
Tulonopeus: 15,9 km/s
Radiantin R,A,: 09:46 (146,6°)
Radiantin Dekl,: 46,8°
Meteoriparvi: Sporadinen
Meteoroidin rataelementit:
Perihelietäisyys: 0,820 AU
Eksentrisyys: 0,350
Inklinaatio: 10,6°
Nousevan solmun pituus: 318,1°
Perihelin argumentti: 249,6°
Keskianomalia: 324,2°
Epookki: 2021 FEB 06 22:31:18
orbit plot

Ei-interaktiivinen kuvaaja | Interaktiivinen kuvaaja

position vs time
speed and acceleration