🇳🇴 🇬🇧 🇩🇪 🇨🇿 🇫🇮

Meteor, poloha: Innbygda 2021-02-07 18:09:54 UTC

Soubor KML  |  InteraktivnĂ­ mapa

Mapa zobrazuje dráhy meteoru. Světlejší čáry ukazují směry od pozorovacích stanic při objevení se meteoru a tmavší čáry, kde byl naposledy viděn. Modrá šipka značí viditelnou dráhu meteoru.

static map
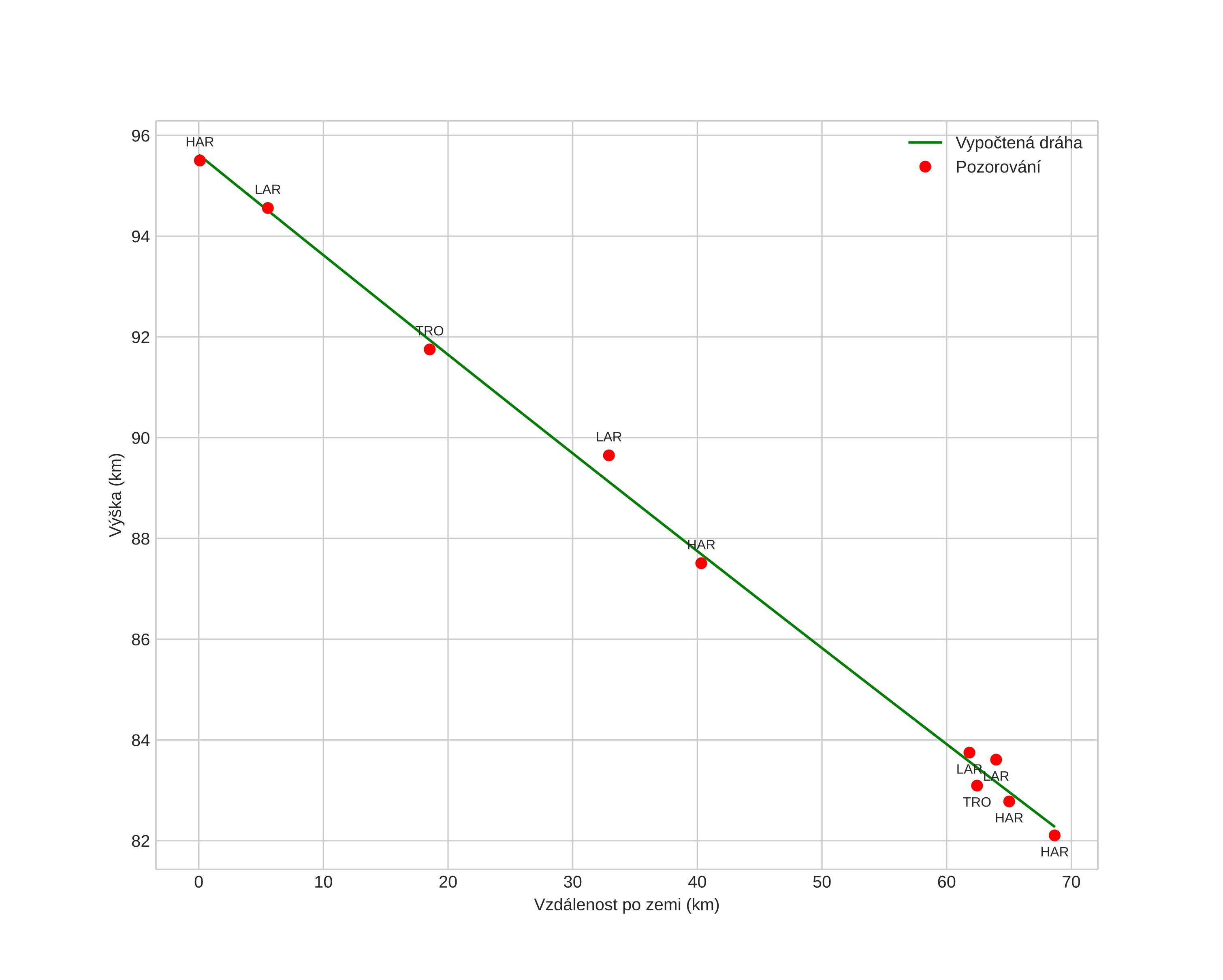
height profile
Atmosférická dráha meteoru:
Počáteční výška: 95,6 km
Konečná výška: 82,1 km
Počáteční poloha: 60,904N 13,868E
Konečná poloha: 60,943N 12,627E
Směr: 274,3°
Sklon: 11,4°
VstupnĂ­ rychlost: 31,3 km/s
Rektascenze radiantu: 09:45 (146,3°)
Deklinace radiantu: 5,2°
MeteorickĂ˝ roj: sporadickĂ˝
Elementy dráhy meteoroidu:
Vzdálenost v periheliu: 0,416 AU
Excentricita: 0,861
Sklon dráhy: 8,6°
Délka vzestupného uzlu: 138,9°
Argument perihelia: 104,5°
Střední anomálie: 352,1°
Epocha: 2021 FEB 07 18:09:54
orbit plot

NeinteraktivnĂ­ graf | InteraktivnĂ­ graf

position vs time
speed and acceleration