🇳🇴 🇬🇧 🇩🇪 🇨🇿 🇫🇮

Meteor Innbygdan yllä 2021-02-07 18:09:54 UTC

KML-tiedosto  |  Interaktiivinen kartta

Kartta näyttää meteorin suuntahavainnot. Vaaleammat viivat näyttävät suunnat havaintoasemilta meteorin ilmestyessä, ja tummemmat viivat näyttävät, missä se viimeksi nähtiin. Sininen nuoli näyttää meteorin näkyvän lennon.

static map
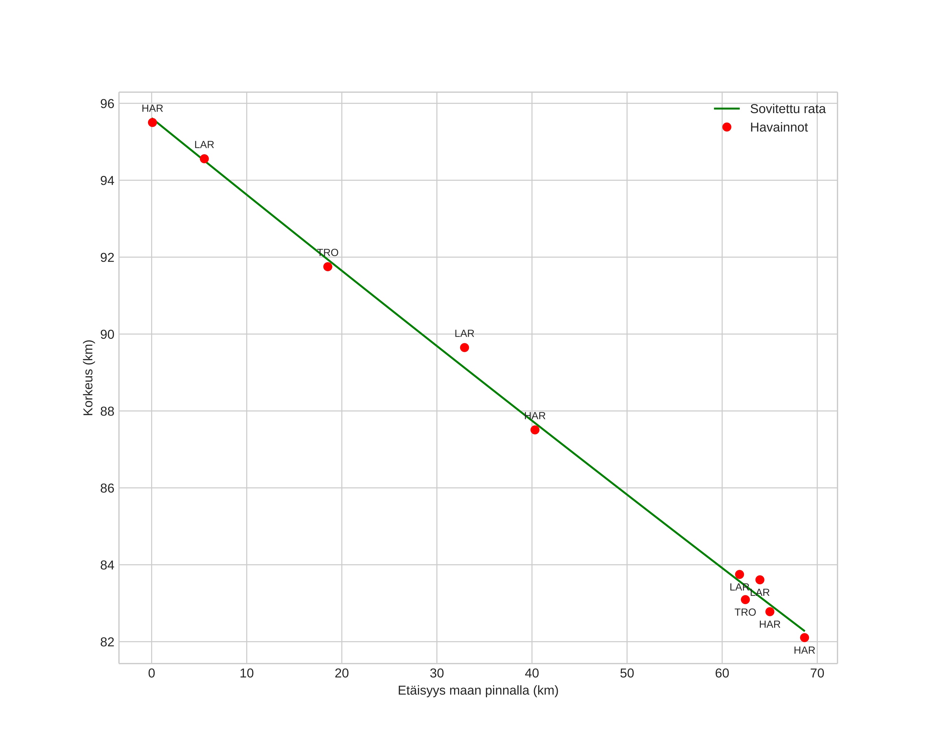
height profile
Meteorin ilmakehärata:
Alkukorkeus: 95,6 km
Loppukorkeus: 82,1 km
Alkupiste: 60,904N 13,868E
Loppupiste: 60,943N 12,627E
Suunta: 274,3°
Kallistuskulma: 11,4°
Tulonopeus: 31,3 km/s
Radiantin R,A,: 09:45 (146,3°)
Radiantin Dekl,: 5,2°
Meteoriparvi: Sporadinen
Meteoroidin rataelementit:
Perihelietäisyys: 0,416 AU
Eksentrisyys: 0,861
Inklinaatio: 8,6°
Nousevan solmun pituus: 138,9°
Perihelin argumentti: 104,5°
Keskianomalia: 352,1°
Epookki: 2021 FEB 07 18:09:54
orbit plot

Ei-interaktiivinen kuvaaja | Interaktiivinen kuvaaja

position vs time
speed and acceleration