🇳🇴 🇬🇧 🇩🇪 🇨🇿 🇫🇮

Meteor, poloha: Tingvoll 2021-02-10 17:52:28 UTC

Soubor KML  |  InteraktivnĂ­ mapa

Mapa zobrazuje dráhy meteoru. Světlejší čáry ukazují směry od pozorovacích stanic při objevení se meteoru a tmavší čáry, kde byl naposledy viděn. Modrá šipka značí viditelnou dráhu meteoru.

static map
height profile
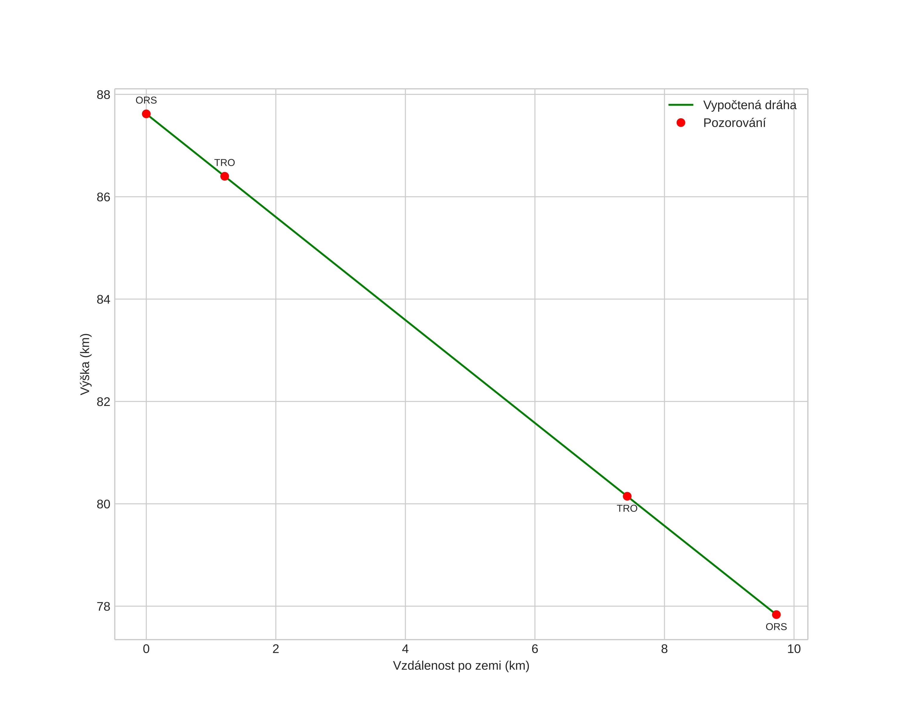
Atmosférická dráha meteoru:
Počáteční výška: 87,7 km
Konečná výška: 77,6 km
Počáteční poloha: 62,848N 8,307E
Konečná poloha: 62,928N 8,237E
Směr: 338,2°
Sklon: 46,7°
VstupnĂ­ rychlost: 14,7 km/s
Rektascenze radiantu: 04:54 (73,7°)
Deklinace radiantu: 11,6°
MeteorickĂ˝ roj: sporadickĂ˝
Elementy dráhy meteoroidu:
Vzdálenost v periheliu: 0,979 AU
Excentricita: 0,706
Sklon dráhy: 2,7°
Délka vzestupného uzlu: 142,0°
Argument perihelia: 11,3°
Střední anomálie: 358,6°
Epocha: 2021 FEB 10 17:52:28
orbit plot

NeinteraktivnĂ­ graf | InteraktivnĂ­ graf

position vs time
speed and acceleration