🇳🇴 🇬🇧 🇩🇪 🇨🇿 🇫🇮

Meteor Tingvollin yllä 2021-02-10 17:52:28 UTC

KML-tiedosto  |  Interaktiivinen kartta

Kartta näyttää meteorin suuntahavainnot. Vaaleammat viivat näyttävät suunnat havaintoasemilta meteorin ilmestyessä, ja tummemmat viivat näyttävät, missä se viimeksi nähtiin. Sininen nuoli näyttää meteorin näkyvän lennon.

static map
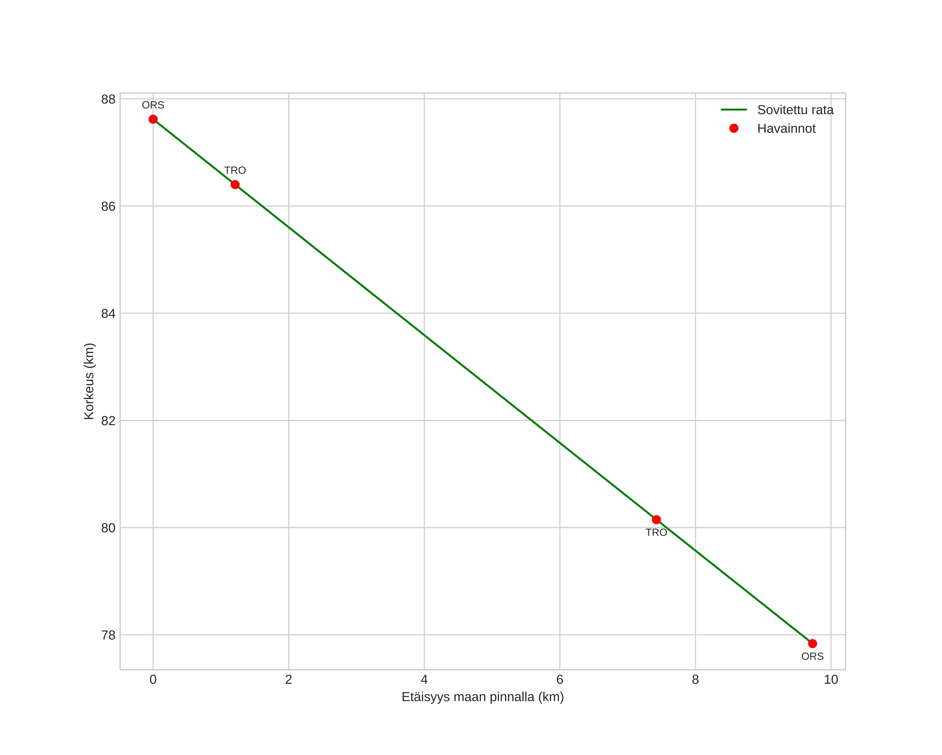
height profile
Meteorin ilmakehärata:
Alkukorkeus: 87,7 km
Loppukorkeus: 77,6 km
Alkupiste: 62,848N 8,307E
Loppupiste: 62,928N 8,237E
Suunta: 338,2°
Kallistuskulma: 46,7°
Tulonopeus: 14,7 km/s
Radiantin R,A,: 04:54 (73,7°)
Radiantin Dekl,: 11,6°
Meteoriparvi: Sporadinen
Meteoroidin rataelementit:
Perihelietäisyys: 0,979 AU
Eksentrisyys: 0,706
Inklinaatio: 2,7°
Nousevan solmun pituus: 142,0°
Perihelin argumentti: 11,3°
Keskianomalia: 358,6°
Epookki: 2021 FEB 10 17:52:28
orbit plot

Ei-interaktiivinen kuvaaja | Interaktiivinen kuvaaja

position vs time
speed and acceleration