🇳🇴 🇬🇧 🇩🇪 🇨🇿 🇫🇮

Meteor, poloha: Rauma 2021-02-12 01:22:05 UTC

Soubor KML  |  InteraktivnĂ­ mapa

Mapa zobrazuje dráhy meteoru. Světlejší čáry ukazují směry od pozorovacích stanic při objevení se meteoru a tmavší čáry, kde byl naposledy viděn. Modrá šipka značí viditelnou dráhu meteoru.

static map
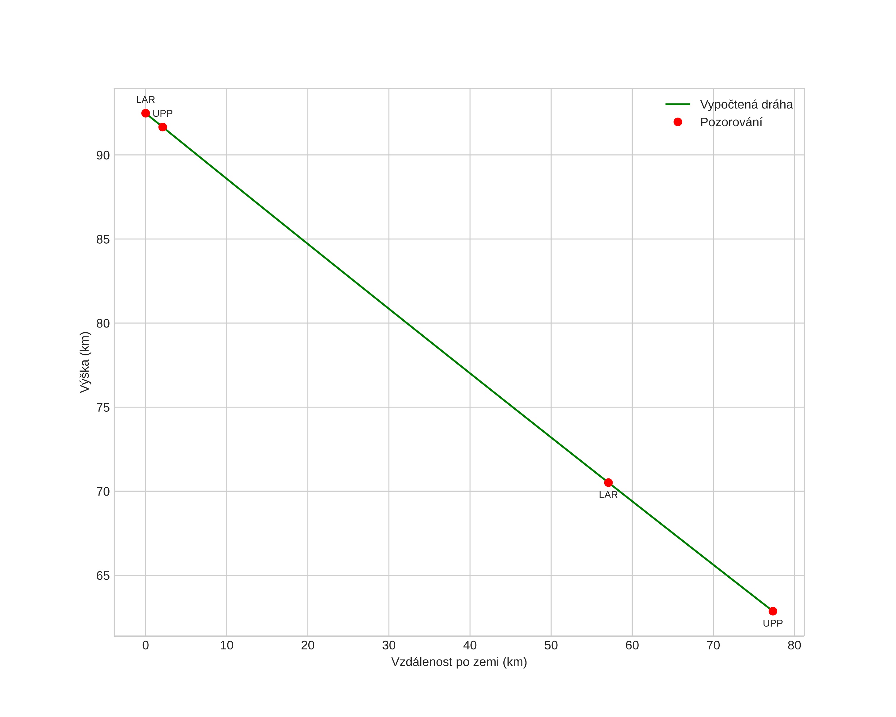
height profile
Atmosférická dráha meteoru:
Počáteční výška: 91,3 km
Konečná výška: 61,8 km
Počáteční poloha: 60,661N 20,750E
Konečná poloha: 61,272N 21,407E
Směr: 27,3°
Sklon: 21,1°
VstupnĂ­ rychlost: 44,9 km/s
Rektascenze radiantu: 10:29 (157,3°)
Deklinace radiantu: -6,4°
MeteorickĂ˝ roj: sporadickĂ˝
Elementy dráhy meteoroidu:
Vzdálenost v periheliu: 0,222 AU
Excentricita: 1,049
Sklon dráhy: 33,2°
Délka vzestupného uzlu: 143,3°
Argument perihelia: 121,0°
Střední anomálie: -3,3°
Epocha: 2021 FEB 12 01:22:05
orbit plot

NeinteraktivnĂ­ graf | InteraktivnĂ­ graf

position vs time
speed and acceleration