🇳🇴 🇬🇧 🇩🇪 🇨🇿 🇫🇮

Meteor Rauman yllä 2021-02-12 01:22:05 UTC

KML-tiedosto  |  Interaktiivinen kartta

Kartta näyttää meteorin suuntahavainnot. Vaaleammat viivat näyttävät suunnat havaintoasemilta meteorin ilmestyessä, ja tummemmat viivat näyttävät, missä se viimeksi nähtiin. Sininen nuoli näyttää meteorin näkyvän lennon.

static map
height profile
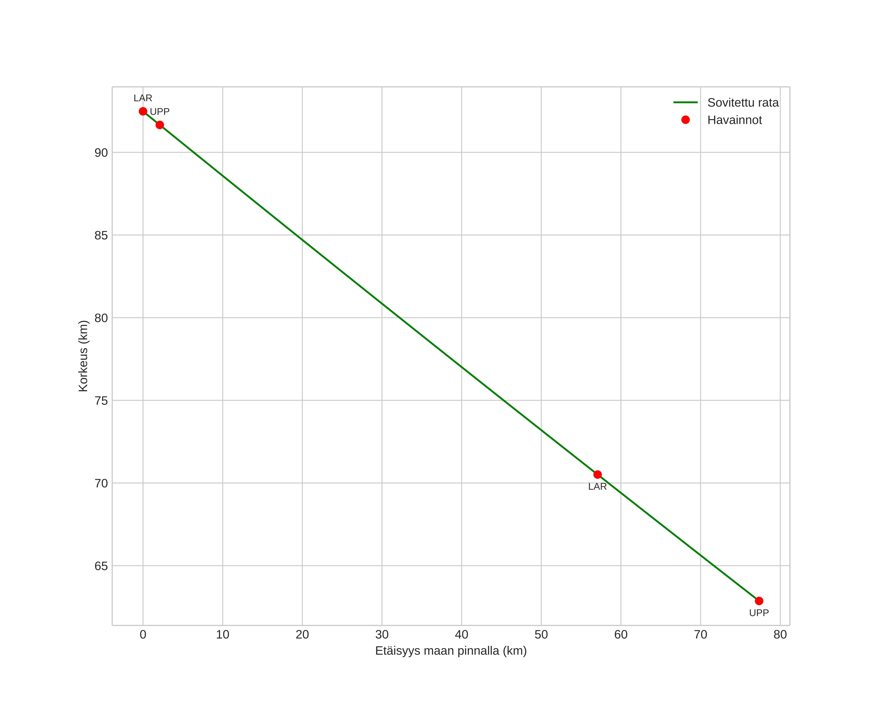
Meteorin ilmakehärata:
Alkukorkeus: 91,3 km
Loppukorkeus: 61,8 km
Alkupiste: 60,661N 20,750E
Loppupiste: 61,272N 21,407E
Suunta: 27,3°
Kallistuskulma: 21,1°
Tulonopeus: 44,9 km/s
Radiantin R,A,: 10:29 (157,3°)
Radiantin Dekl,: -6,4°
Meteoriparvi: Sporadinen
Meteoroidin rataelementit:
Perihelietäisyys: 0,222 AU
Eksentrisyys: 1,049
Inklinaatio: 33,2°
Nousevan solmun pituus: 143,3°
Perihelin argumentti: 121,0°
Keskianomalia: -3,3°
Epookki: 2021 FEB 12 01:22:05
orbit plot

Ei-interaktiivinen kuvaaja | Interaktiivinen kuvaaja

position vs time
speed and acceleration