🇳🇴 🇬🇧 🇩🇪 🇨🇿 🇫🇮

Meteor, poloha: Hällevik 2021-02-13 18:09:46 UTC

Soubor KML  |  InteraktivnĂ­ mapa

Mapa zobrazuje dráhy meteoru. Světlejší čáry ukazují směry od pozorovacích stanic při objevení se meteoru a tmavší čáry, kde byl naposledy viděn. Modrá šipka značí viditelnou dráhu meteoru.

static map
height profile
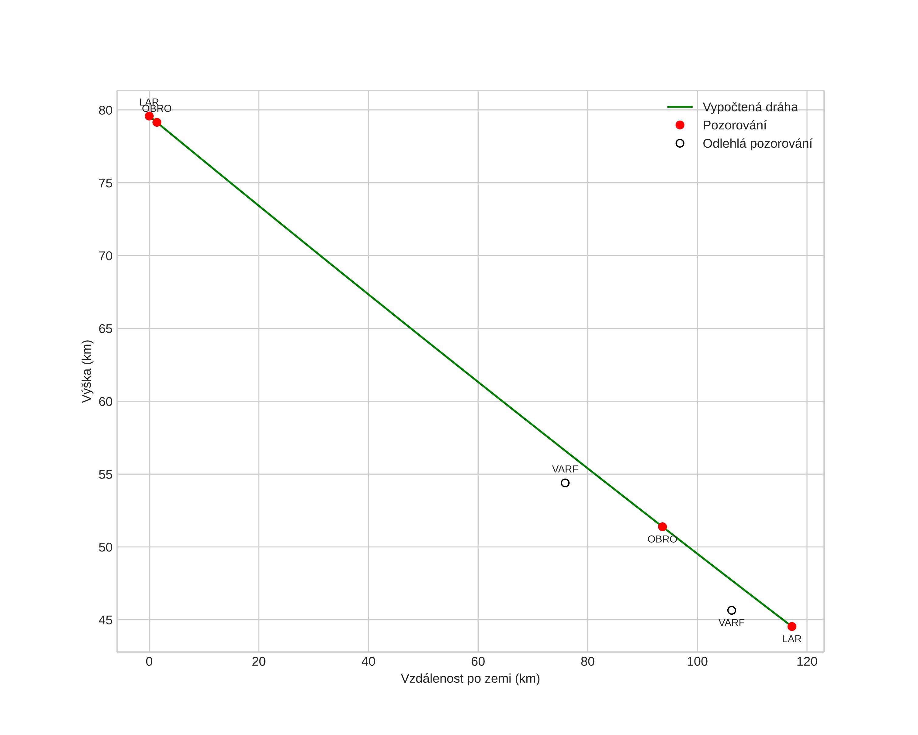
Atmosférická dráha meteoru:
Počáteční výška: 79,6 km
Konečná výška: 44,5 km
Počáteční poloha: 55,752N 16,752E
Konečná poloha: 55,795N 14,879E
Směr: 273,1°
Sklon: 16,7°
VstupnĂ­ rychlost: 26,1 km/s
Rektascenze radiantu: 10:12 (153,1°)
Deklinace radiantu: 8,6°
MeteorickĂ˝ roj: sporadickĂ˝
Elementy dráhy meteoroidu:
Vzdálenost v periheliu: 0,479 AU
Excentricita: 0,715
Sklon dráhy: 2,0°
Délka vzestupného uzlu: 145,0°
Argument perihelia: 103,5°
Střední anomálie: 338,7°
Epocha: 2021 FEB 13 18:09:46
orbit plot

NeinteraktivnĂ­ graf | InteraktivnĂ­ graf

position vs time
speed and acceleration