🇳🇴 🇬🇧 🇩🇪 🇨🇿 🇫🇮

Meteor Hällevikin yllä 2021-02-13 18:09:46 UTC

KML-tiedosto  |  Interaktiivinen kartta

Kartta näyttää meteorin suuntahavainnot. Vaaleammat viivat näyttävät suunnat havaintoasemilta meteorin ilmestyessä, ja tummemmat viivat näyttävät, missä se viimeksi nähtiin. Sininen nuoli näyttää meteorin näkyvän lennon.

static map
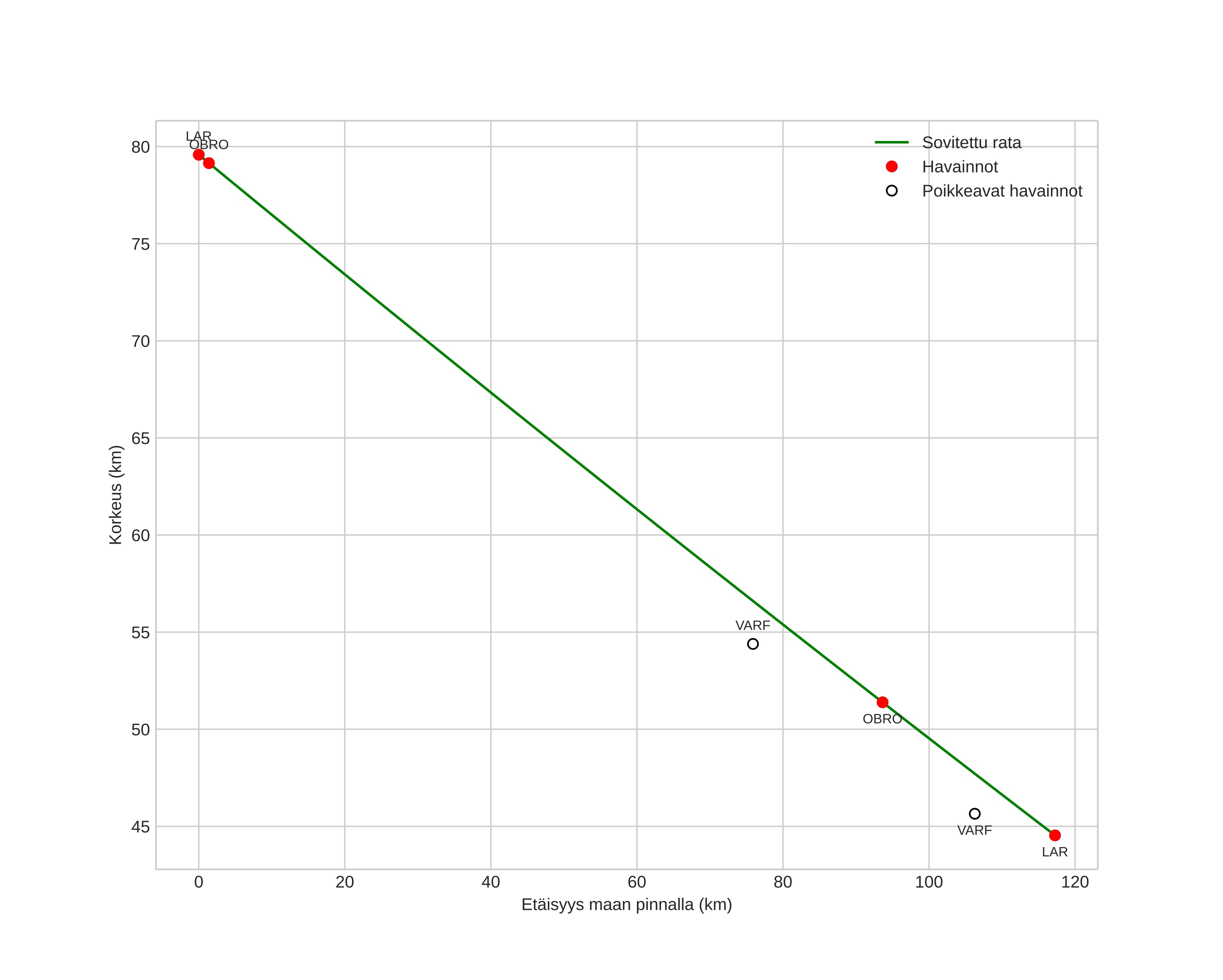
height profile
Meteorin ilmakehärata:
Alkukorkeus: 79,6 km
Loppukorkeus: 44,5 km
Alkupiste: 55,752N 16,752E
Loppupiste: 55,795N 14,879E
Suunta: 273,1°
Kallistuskulma: 16,7°
Tulonopeus: 26,1 km/s
Radiantin R,A,: 10:12 (153,1°)
Radiantin Dekl,: 8,6°
Meteoriparvi: Sporadinen
Meteoroidin rataelementit:
Perihelietäisyys: 0,479 AU
Eksentrisyys: 0,715
Inklinaatio: 2,0°
Nousevan solmun pituus: 145,0°
Perihelin argumentti: 103,5°
Keskianomalia: 338,7°
Epookki: 2021 FEB 13 18:09:46
orbit plot

Ei-interaktiivinen kuvaaja | Interaktiivinen kuvaaja

position vs time
speed and acceleration