🇳🇴 🇬🇧 🇩🇪 🇨🇿 🇫🇮

Meteor, poloha: Olderdalen 2021-02-13 23:38:57 UTC

Soubor KML  |  InteraktivnĂ­ mapa

Mapa zobrazuje dráhy meteoru. Světlejší čáry ukazují směry od pozorovacích stanic při objevení se meteoru a tmavší čáry, kde byl naposledy viděn. Modrá šipka značí viditelnou dráhu meteoru.

static map
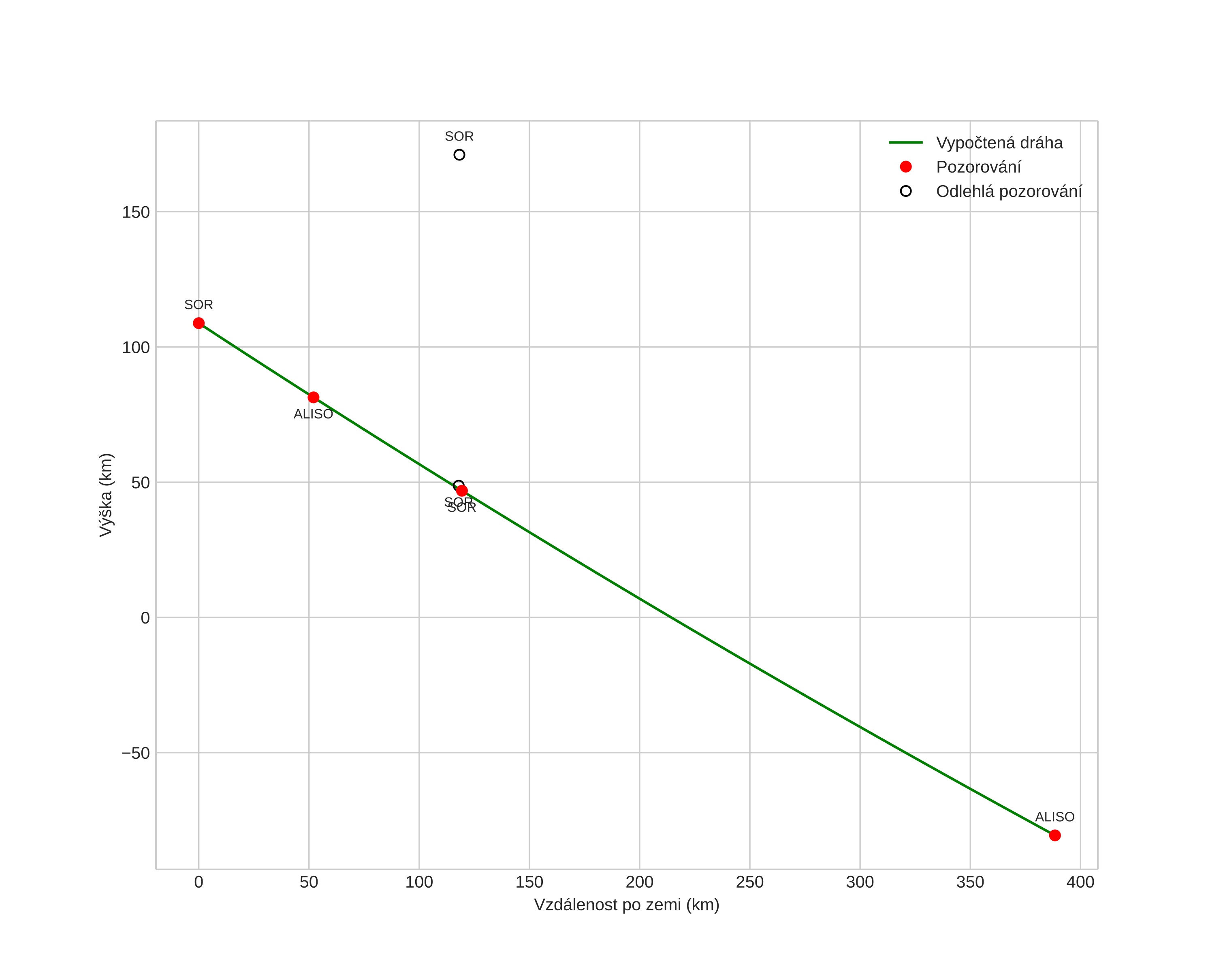
height profile
Atmosférická dráha meteoru:
Počáteční výška: 163,1 km
Konečná výška: -101,8 km
Počáteční poloha: 65,044N 22,583E
Konečná poloha: 69,765N 20,644E
Směr: 351,9°
Sklon: 26,5°
VstupnĂ­ rychlost: 42,3 km/s
Rektascenze radiantu: 11:12 (168,2°)
Deklinace radiantu: 0,6°
MeteorickĂ˝ roj: sporadickĂ˝
Elementy dráhy meteoroidu:
Vzdálenost v periheliu: 0,111 AU
Excentricita: 0,970
Sklon dráhy: 11,9°
Délka vzestupného uzlu: 145,2°
Argument perihelia: 143,3°
Střední anomálie: 355,6°
Epocha: 2021 FEB 13 23:38:57
orbit plot

NeinteraktivnĂ­ graf | InteraktivnĂ­ graf

position vs time
speed and acceleration