🇳🇴 🇬🇧 🇩🇪 🇨🇿 🇫🇮

Meteor Olderdalenin yllä 2021-02-13 23:38:57 UTC

KML-tiedosto  |  Interaktiivinen kartta

Kartta näyttää meteorin suuntahavainnot. Vaaleammat viivat näyttävät suunnat havaintoasemilta meteorin ilmestyessä, ja tummemmat viivat näyttävät, missä se viimeksi nähtiin. Sininen nuoli näyttää meteorin näkyvän lennon.

static map
height profile
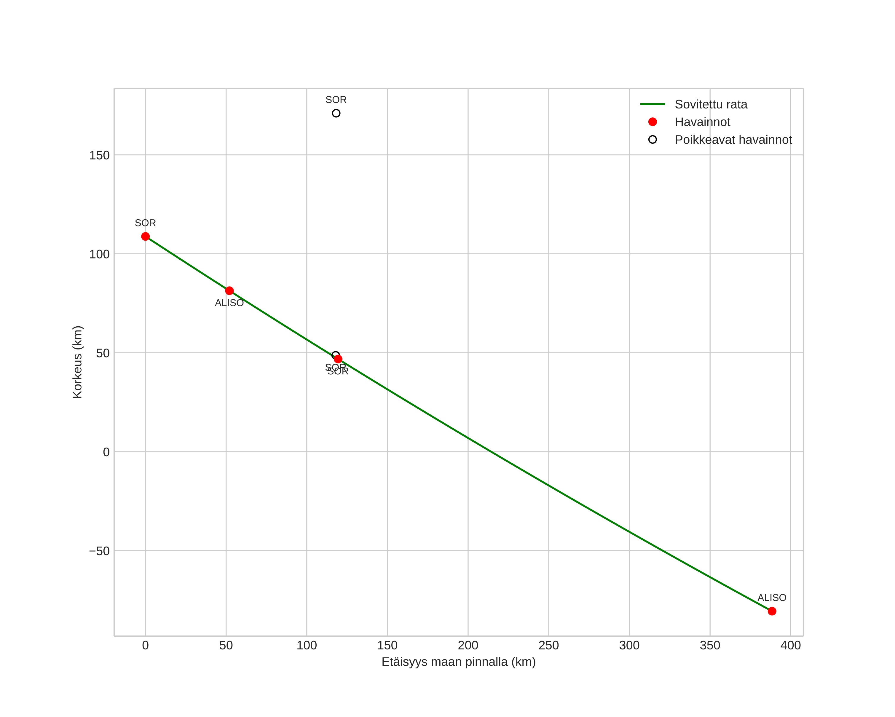
Meteorin ilmakehärata:
Alkukorkeus: 163,1 km
Loppukorkeus: -101,8 km
Alkupiste: 65,044N 22,583E
Loppupiste: 69,765N 20,644E
Suunta: 351,9°
Kallistuskulma: 26,5°
Tulonopeus: 42,3 km/s
Radiantin R,A,: 11:12 (168,2°)
Radiantin Dekl,: 0,6°
Meteoriparvi: Sporadinen
Meteoroidin rataelementit:
Perihelietäisyys: 0,111 AU
Eksentrisyys: 0,970
Inklinaatio: 11,9°
Nousevan solmun pituus: 145,2°
Perihelin argumentti: 143,3°
Keskianomalia: 355,6°
Epookki: 2021 FEB 13 23:38:57
orbit plot

Ei-interaktiivinen kuvaaja | Interaktiivinen kuvaaja

position vs time
speed and acceleration