🇳🇴 🇬🇧 🇩🇪 🇨🇿 🇫🇮

Meteor, poloha: Vikarbyn 2021-02-14 01:09:01 UTC

Soubor KML  |  InteraktivnĂ­ mapa

Mapa zobrazuje dráhy meteoru. Světlejší čáry ukazují směry od pozorovacích stanic při objevení se meteoru a tmavší čáry, kde byl naposledy viděn. Modrá šipka značí viditelnou dráhu meteoru.

static map
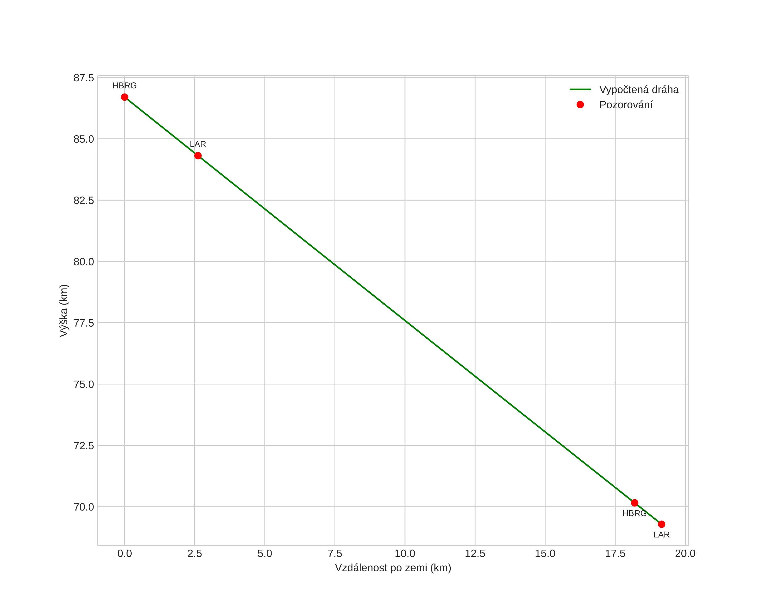
height profile
Atmosférická dráha meteoru:
Počáteční výška: 87,2 km
Konečná výška: 70,6 km
Počáteční poloha: 61,235N 14,898E
Konečná poloha: 61,359N 15,127E
Směr: 41,6°
Sklon: 42,1°
VstupnĂ­ rychlost: 23,8 km/s
Rektascenze radiantu: 09:32 (143,2°)
Deklinace radiantu: 15,7°
MeteorickĂ˝ roj: sporadickĂ˝
Elementy dráhy meteoroidu:
Vzdálenost v periheliu: 0,640 AU
Excentricita: 0,753
Sklon dráhy: 0,7°
Délka vzestupného uzlu: 325,2°
Argument perihelia: 259,6°
Střední anomálie: 349,9°
Epocha: 2021 FEB 14 01:09:01
orbit plot

NeinteraktivnĂ­ graf | InteraktivnĂ­ graf

position vs time
speed and acceleration