🇳🇴 🇬🇧 🇩🇪 🇨🇿 🇫🇮

Meteor Vikarbynin yllä 2021-02-14 01:09:01 UTC

KML-tiedosto  |  Interaktiivinen kartta

Kartta näyttää meteorin suuntahavainnot. Vaaleammat viivat näyttävät suunnat havaintoasemilta meteorin ilmestyessä, ja tummemmat viivat näyttävät, missä se viimeksi nähtiin. Sininen nuoli näyttää meteorin näkyvän lennon.

static map
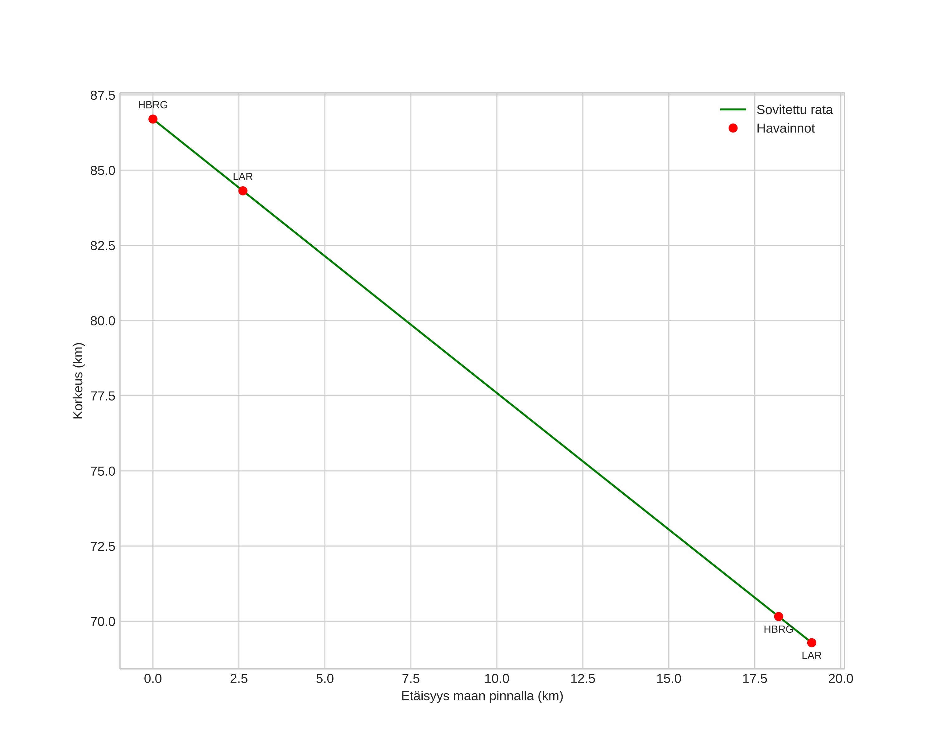
height profile
Meteorin ilmakehärata:
Alkukorkeus: 87,2 km
Loppukorkeus: 70,6 km
Alkupiste: 61,235N 14,898E
Loppupiste: 61,359N 15,127E
Suunta: 41,6°
Kallistuskulma: 42,1°
Tulonopeus: 23,8 km/s
Radiantin R,A,: 09:32 (143,2°)
Radiantin Dekl,: 15,7°
Meteoriparvi: Sporadinen
Meteoroidin rataelementit:
Perihelietäisyys: 0,640 AU
Eksentrisyys: 0,753
Inklinaatio: 0,7°
Nousevan solmun pituus: 325,2°
Perihelin argumentti: 259,6°
Keskianomalia: 349,9°
Epookki: 2021 FEB 14 01:09:01
orbit plot

Ei-interaktiivinen kuvaaja | Interaktiivinen kuvaaja

position vs time
speed and acceleration