🇳🇴 🇬🇧 🇩🇪 🇨🇿 🇫🇮

Meteor, poloha: Kirkenær 2021-02-14 05:40:46 UTC

Soubor KML  |  InteraktivnĂ­ mapa

Mapa zobrazuje dráhy meteoru. Světlejší čáry ukazují směry od pozorovacích stanic při objevení se meteoru a tmavší čáry, kde byl naposledy viděn. Modrá šipka značí viditelnou dráhu meteoru.

static map
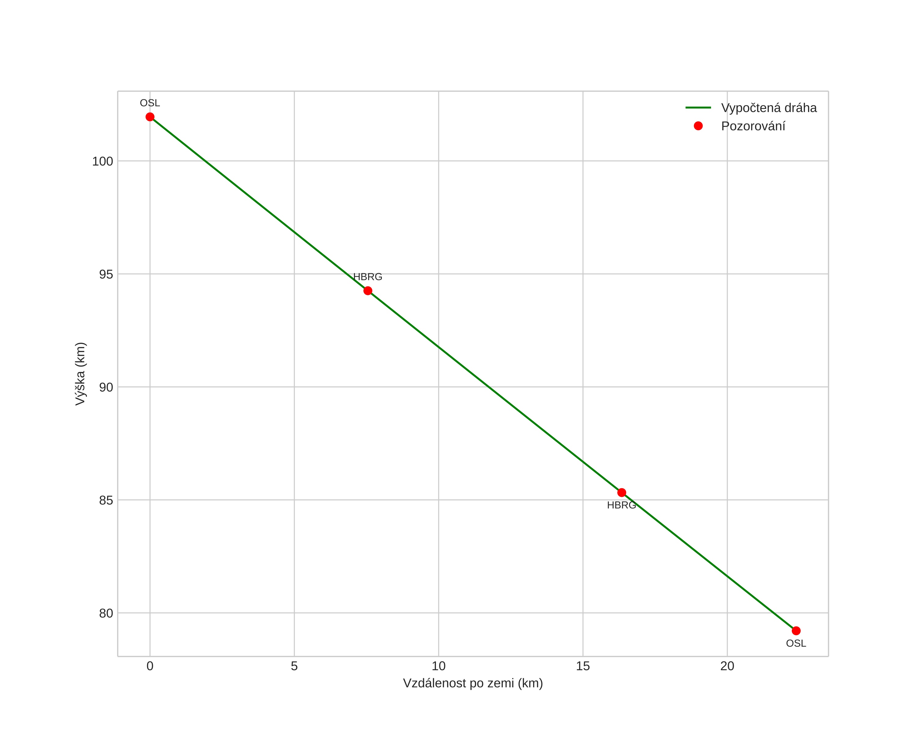
height profile
Atmosférická dráha meteoru:
Počáteční výška: 105,5 km
Konečná výška: 80,3 km
Počáteční poloha: 60,318N 11,482E
Konečná poloha: 60,437N 11,858E
Směr: 57,2°
Sklon: 45,8°
VstupnĂ­ rychlost: 47,0 km/s
Rektascenze radiantu: 13:18 (199,7°)
Deklinace radiantu: 25,2°
MeteorickĂ˝ roj: sporadickĂ˝
Elementy dráhy meteoroidu:
Vzdálenost v periheliu: 0,335 AU
Excentricita: 0,851
Sklon dráhy: 80,6°
Délka vzestupného uzlu: 325,5°
Argument perihelia: 295,9°
Střední anomálie: 348,0°
Epocha: 2021 FEB 14 05:40:46
orbit plot

NeinteraktivnĂ­ graf | InteraktivnĂ­ graf

position vs time
speed and acceleration