🇳🇴 🇬🇧 🇩🇪 🇨🇿 🇫🇮

Meteor Kirkenærin yllä 2021-02-14 05:40:46 UTC

KML-tiedosto  |  Interaktiivinen kartta

Kartta näyttää meteorin suuntahavainnot. Vaaleammat viivat näyttävät suunnat havaintoasemilta meteorin ilmestyessä, ja tummemmat viivat näyttävät, missä se viimeksi nähtiin. Sininen nuoli näyttää meteorin näkyvän lennon.

static map
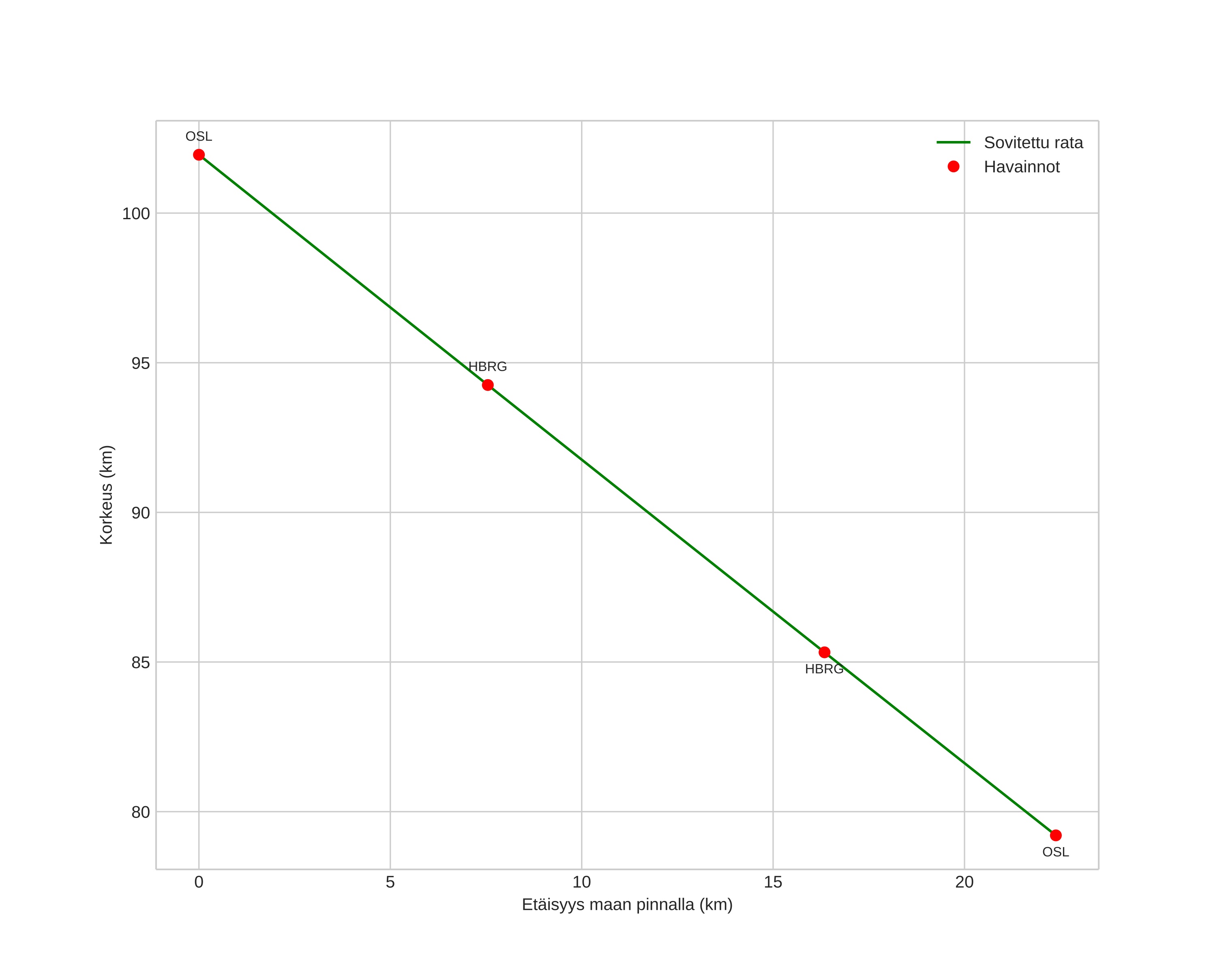
height profile
Meteorin ilmakehärata:
Alkukorkeus: 105,5 km
Loppukorkeus: 80,3 km
Alkupiste: 60,318N 11,482E
Loppupiste: 60,437N 11,858E
Suunta: 57,2°
Kallistuskulma: 45,8°
Tulonopeus: 47,0 km/s
Radiantin R,A,: 13:18 (199,7°)
Radiantin Dekl,: 25,2°
Meteoriparvi: Sporadinen
Meteoroidin rataelementit:
Perihelietäisyys: 0,335 AU
Eksentrisyys: 0,851
Inklinaatio: 80,6°
Nousevan solmun pituus: 325,5°
Perihelin argumentti: 295,9°
Keskianomalia: 348,0°
Epookki: 2021 FEB 14 05:40:46
orbit plot

Ei-interaktiivinen kuvaaja | Interaktiivinen kuvaaja

position vs time
speed and acceleration