🇳🇴 🇬🇧 🇩🇪 🇨🇿 🇫🇮

Meteor, poloha: Gjøvik 2021-02-14 17:30:37 UTC

Gran – 2
Gran – 2
Harestua – 2
Harestua – 2
Larvik – 1
Larvik – 1
Trondheim – 1
Trondheim – 1
Trondheim – 3
Trondheim – 3
Voksenlia – 3
Voksenlia – 3

Soubor KML  | Interaktivní mapa

map

Mapa zobrazuje dráhy meteoru. Světlejší čáry ukazují směry od pozorovacích stanic při objevení se meteoru a tmavší čáry, kde byl naposledy viděn. Modrá šipka značí viditelnou dráhu meteoru.

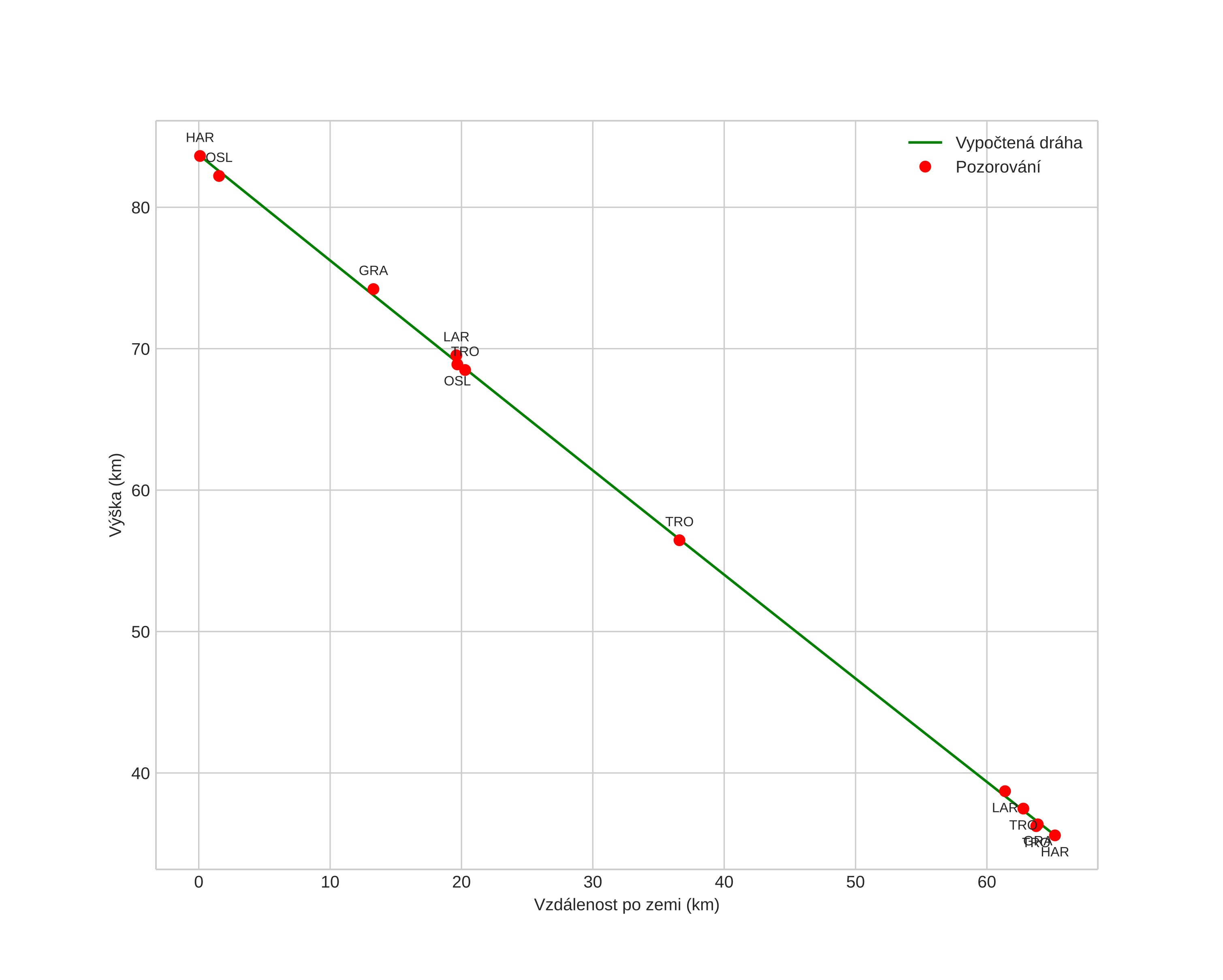
height profile
Atmosférická dráha meteoru:
Počáteční výška: 85,2 km
Konečná výška: 33,1 km
Počáteční poloha: 60,660N 11,844E
Konečná poloha: 60,848N 10,616E
Směr: 288,0°
Sklon: 36,7°
Vstupní rychlost: 18,3 km/s
Rektascenze radiantu: 07:53 (118,4°)
Deklinace radiantu: 18,1°
Meteorický roj: sporadický
Elementy dráhy meteoroidu:
Vzdálenost v periheliu: 0,873 AU
Excentricita: 0,736
Sklon dráhy: 1,1°
Délka vzestupného uzlu: 146,0°
Argument perihelia: 43,3°
Střední anomálie: 355,2°
Epocha: 2021 FEB 14 17:30:37
orbit

Neinteraktivní graf | Interaktivní graf

position vs time
speed & acceleration