🇳🇴 🇬🇧 🇩🇪 🇨🇿 🇫🇮

Meteor über Gjøvik 2021-02-14 17:30:37 UTC

Gran – 2
Gran – 2
Harestua – 2
Harestua – 2
Larvik – 1
Larvik – 1
Trondheim – 1
Trondheim – 1
Trondheim – 3
Trondheim – 3
Voksenlia – 3
Voksenlia – 3

KML-Datei  | Interaktive Karte

map

Die Karte zeigt die Peilungen für den Meteor. Die helleren Linien zeigen die Richtungen von den Beobachtungsorten beim Erscheinen des Meteors, und die dunkleren Linien, wo er zuletzt gesehen wurde. Der blaue Pfeil zeigt die sichtbare Bahn des Meteors.

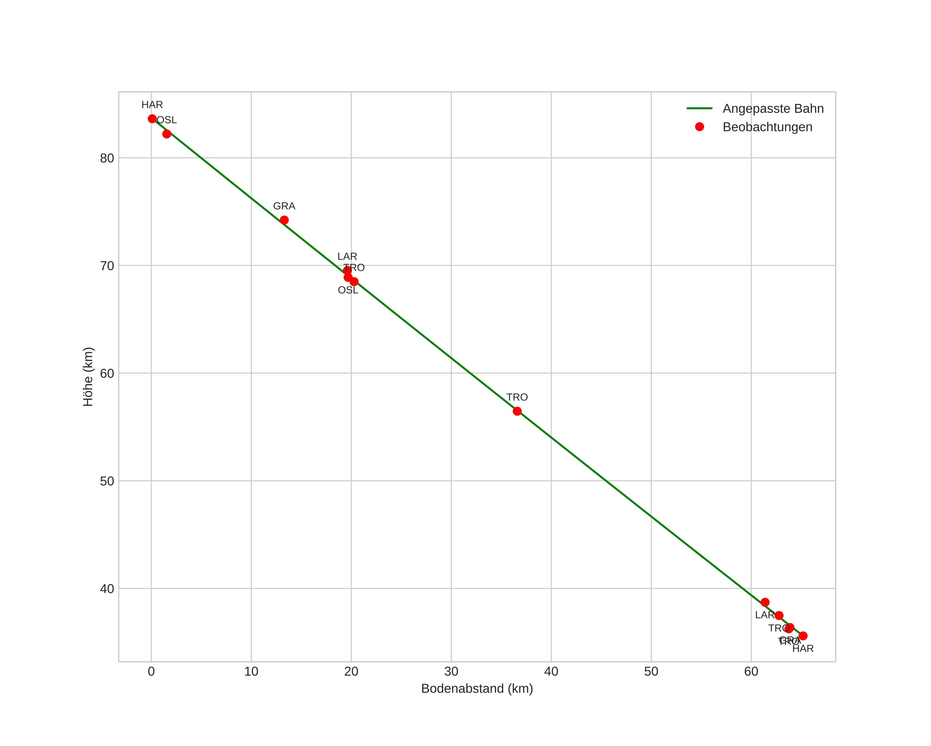
height profile
Atmosphärische Bahn des Meteors:
Anfangshöhe: 85,2 km
Endhöhe: 33,1 km
Startposition: 60,660N 11,844E
Endposition: 60,848N 10,616E
Richtung: 288,0°
Neigungswinkel: 36,7°
Eintrittsgeschwindigkeit: 18,3 km/s
Rektaszension des Radianten: 07:53 (118,4°)
Deklination des Radianten: 18,1°
Meteorstrom: sporadisch
Bahnelemente des Meteoroiden:
Periheldistanz: 0,873 AU
Exzentrizität: 0,736
Inklination: 1,1°
Länge des aufsteigenden Knotens: 146,0°
Argument des Perihels: 43,3°
Mittlere Anomalie: 355,2°
Epoche: 2021 FEB 14 17:30:37
orbit

Nicht-interaktives Diagramm | Interaktives Diagramm

position vs time
speed & acceleration