🇳🇴 🇬🇧 🇩🇪 🇨🇿 🇫🇮

Meteor, poloha: Moen 2021-02-16 17:10:12 UTC

Soubor KML  |  InteraktivnĂ­ mapa

Mapa zobrazuje dráhy meteoru. Světlejší čáry ukazují směry od pozorovacích stanic při objevení se meteoru a tmavší čáry, kde byl naposledy viděn. Modrá šipka značí viditelnou dráhu meteoru.

static map
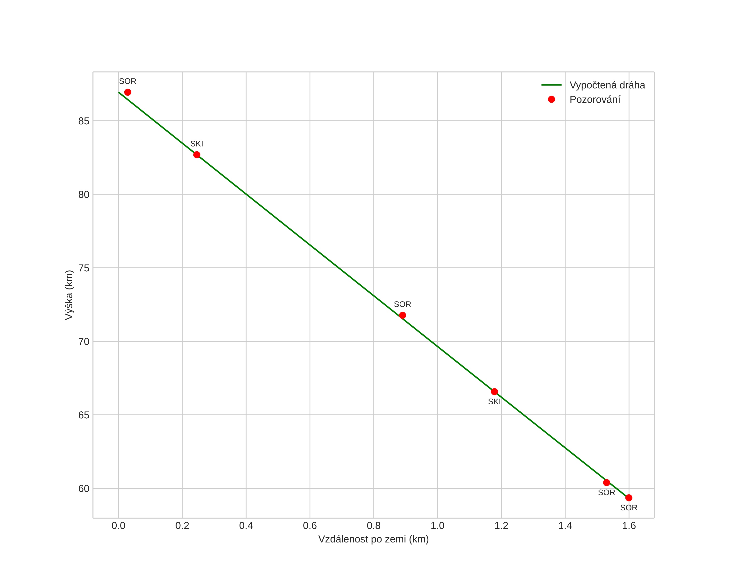
height profile
Atmosférická dráha meteoru:
Počáteční výška: 83,7 km
Konečná výška: 59,4 km
Počáteční poloha: 69,295N 18,474E
Konečná poloha: 69,307N 18,490E
Směr: 24,6°
Sklon: 86,5°
VstupnĂ­ rychlost: 16,0 km/s
Rektascenze radiantu: 03:46 (56,6°)
Deklinace radiantu: 65,2°
MeteorickĂ˝ roj: sporadickĂ˝
Elementy dráhy meteoroidu:
Vzdálenost v periheliu: 0,986 AU
Excentricita: 0,701
Sklon dráhy: 11,8°
Délka vzestupného uzlu: 328,0°
Argument perihelia: 185,6°
Střední anomálie: 359,3°
Epocha: 2021 FEB 16 17:10:12
orbit plot

NeinteraktivnĂ­ graf | InteraktivnĂ­ graf

position vs time
speed and acceleration