🇳🇴 🇬🇧 🇩🇪 🇨🇿 🇫🇮

Meteor Moenin yllä 2021-02-16 17:10:12 UTC

KML-tiedosto  |  Interaktiivinen kartta

Kartta näyttää meteorin suuntahavainnot. Vaaleammat viivat näyttävät suunnat havaintoasemilta meteorin ilmestyessä, ja tummemmat viivat näyttävät, missä se viimeksi nähtiin. Sininen nuoli näyttää meteorin näkyvän lennon.

static map
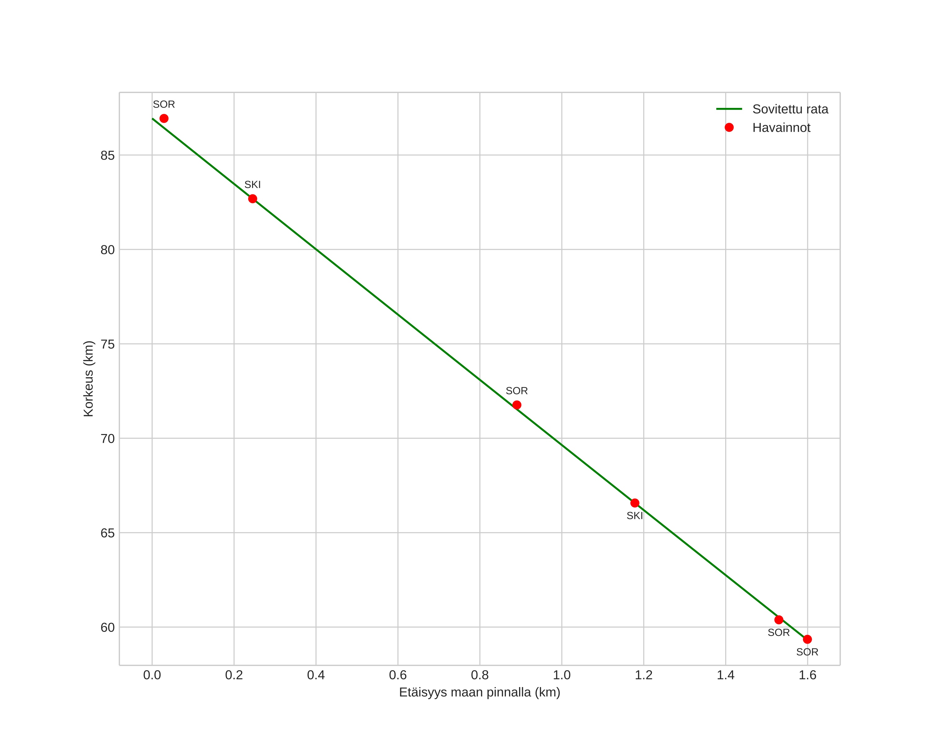
height profile
Meteorin ilmakehärata:
Alkukorkeus: 83,7 km
Loppukorkeus: 59,4 km
Alkupiste: 69,295N 18,474E
Loppupiste: 69,307N 18,490E
Suunta: 24,6°
Kallistuskulma: 86,5°
Tulonopeus: 16,0 km/s
Radiantin R,A,: 03:46 (56,6°)
Radiantin Dekl,: 65,2°
Meteoriparvi: Sporadinen
Meteoroidin rataelementit:
Perihelietäisyys: 0,986 AU
Eksentrisyys: 0,701
Inklinaatio: 11,8°
Nousevan solmun pituus: 328,0°
Perihelin argumentti: 185,6°
Keskianomalia: 359,3°
Epookki: 2021 FEB 16 17:10:12
orbit plot

Ei-interaktiivinen kuvaaja | Interaktiivinen kuvaaja

position vs time
speed and acceleration