🇳🇴 🇬🇧 🇩🇪 🇨🇿 🇫🇮

Meteor, poloha: Setermoen 2021-02-16 19:26:41 UTC

Soubor KML  |  InteraktivnĂ­ mapa

Mapa zobrazuje dráhy meteoru. Světlejší čáry ukazují směry od pozorovacích stanic při objevení se meteoru a tmavší čáry, kde byl naposledy viděn. Modrá šipka značí viditelnou dráhu meteoru.

static map
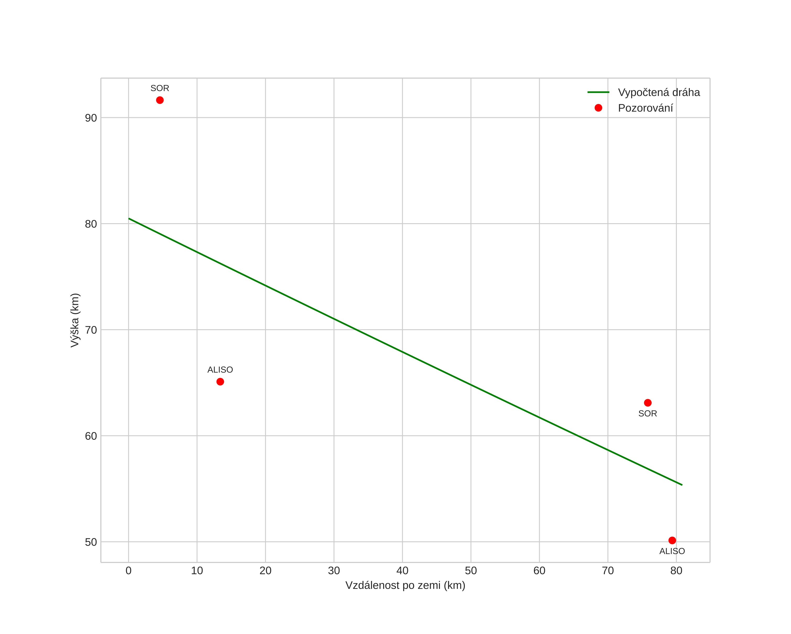
height profile
Atmosférická dráha meteoru:
Počáteční výška: 79,7 km
Konečná výška: 55,3 km
Počáteční poloha: 67,009N 19,846E
Konečná poloha: 67,565N 18,664E
Směr: 321,1°
Sklon: 17,0°
VstupnĂ­ rychlost: 35,3 km/s
Rektascenze radiantu: 09:01 (135,4°)
Deklinace radiantu: -3,4°
MeteorickĂ˝ roj: sporadickĂ˝
Elementy dráhy meteoroidu:
Vzdálenost v periheliu: 0,633 AU
Excentricita: 1,363
Sklon dráhy: 17,5°
Délka vzestupného uzlu: 148,1°
Argument perihelia: 67,8°
Střední anomálie: -13,3°
Epocha: 2021 FEB 16 19:26:41
orbit plot

NeinteraktivnĂ­ graf | InteraktivnĂ­ graf

position vs time
speed and acceleration