🇳🇴 🇬🇧 🇩🇪 🇨🇿 🇫🇮

Meteor Setermoenin yllä 2021-02-16 19:26:41 UTC

KML-tiedosto  |  Interaktiivinen kartta

Kartta näyttää meteorin suuntahavainnot. Vaaleammat viivat näyttävät suunnat havaintoasemilta meteorin ilmestyessä, ja tummemmat viivat näyttävät, missä se viimeksi nähtiin. Sininen nuoli näyttää meteorin näkyvän lennon.

static map
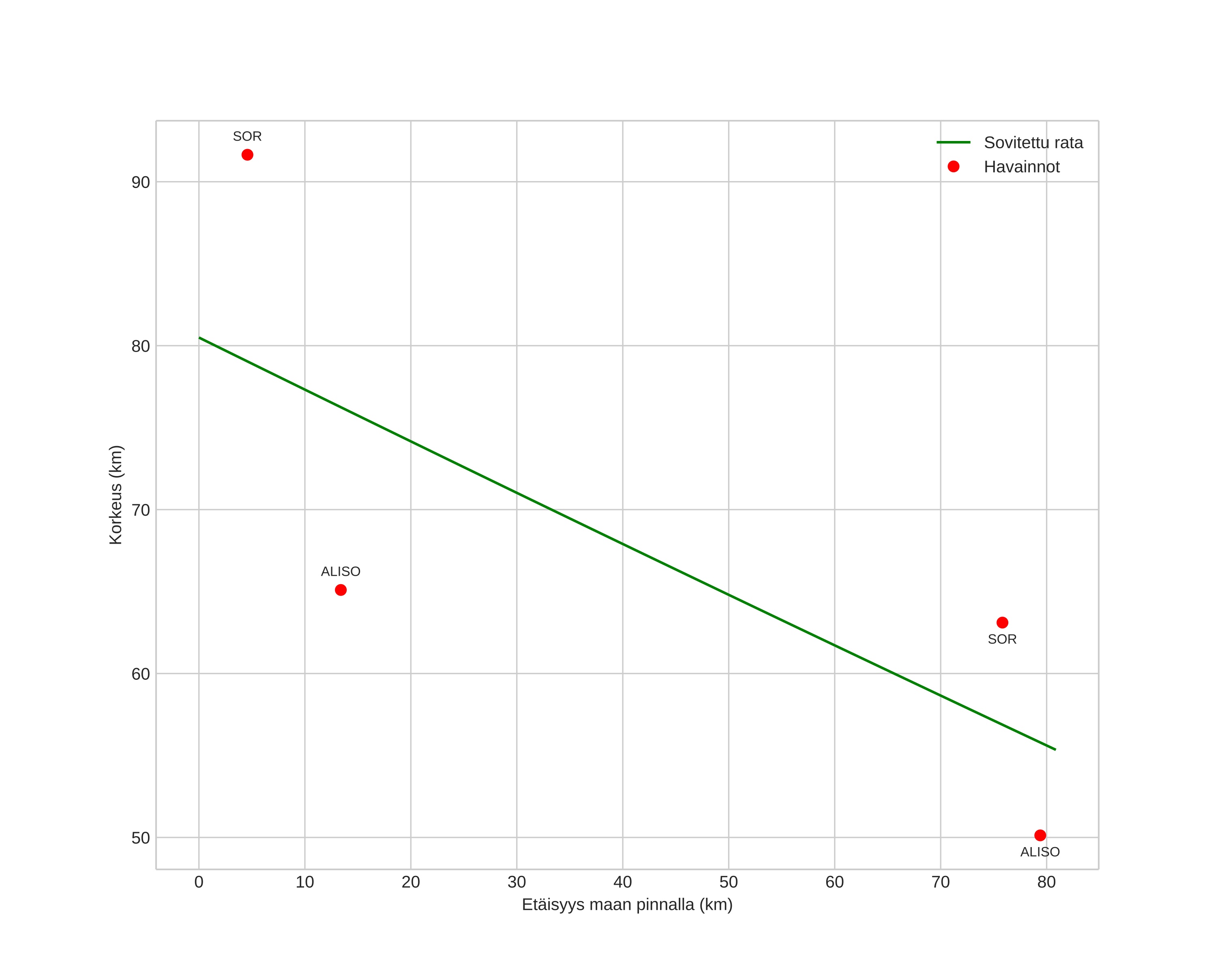
height profile
Meteorin ilmakehärata:
Alkukorkeus: 79,7 km
Loppukorkeus: 55,3 km
Alkupiste: 67,009N 19,846E
Loppupiste: 67,565N 18,664E
Suunta: 321,1°
Kallistuskulma: 17,0°
Tulonopeus: 35,3 km/s
Radiantin R,A,: 09:01 (135,4°)
Radiantin Dekl,: -3,4°
Meteoriparvi: Sporadinen
Meteoroidin rataelementit:
Perihelietäisyys: 0,633 AU
Eksentrisyys: 1,363
Inklinaatio: 17,5°
Nousevan solmun pituus: 148,1°
Perihelin argumentti: 67,8°
Keskianomalia: -13,3°
Epookki: 2021 FEB 16 19:26:41
orbit plot

Ei-interaktiivinen kuvaaja | Interaktiivinen kuvaaja

position vs time
speed and acceleration