🇳🇴 🇬🇧 🇩🇪 🇨🇿 🇫🇮

Meteor, poloha: Setermoen 2021-02-17 04:42:54 UTC

Soubor KML  |  Interaktivní mapa

Mapa zobrazuje dráhy meteoru. Světlejší čáry ukazují směry od pozorovacích stanic při objevení se meteoru a tmavší čáry, kde byl naposledy viděn. Modrá šipka značí viditelnou dráhu meteoru.

static map
height profile
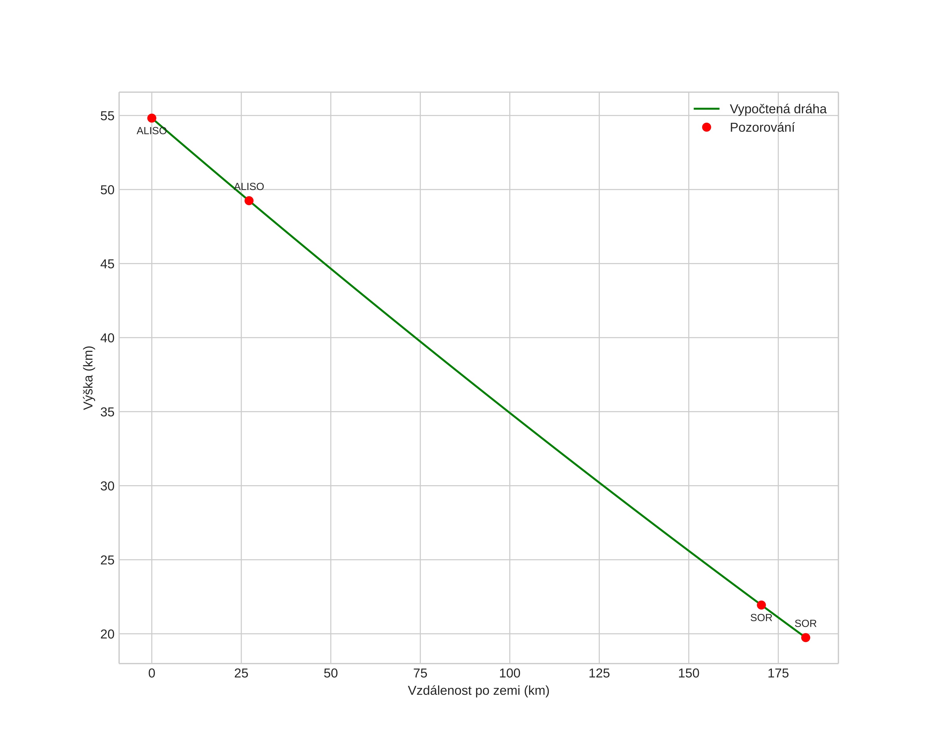
Atmosférická dráha meteoru:
Počáteční výška: 55,2 km
Konečná výška: 19,7 km
Počáteční poloha: 67,007N 18,019E
Konečná poloha: 68,653N 18,200E
Směr: 2,3°
Sklon: 11,0°
orbit plot
position vs time
speed and acceleration