🇳🇴 🇬🇧 🇩🇪 🇨🇿 🇫🇮

Meteor über Setermoen 2021-02-17 04:42:54 UTC

KML-Datei  |  Interaktive Karte

Die Karte zeigt die Peilungen für den Meteor. Die helleren Linien zeigen die Richtungen von den Beobachtungsorten beim Erscheinen des Meteors, und die dunkleren Linien, wo er zuletzt gesehen wurde. Der blaue Pfeil zeigt die sichtbare Bahn des Meteors.

static map
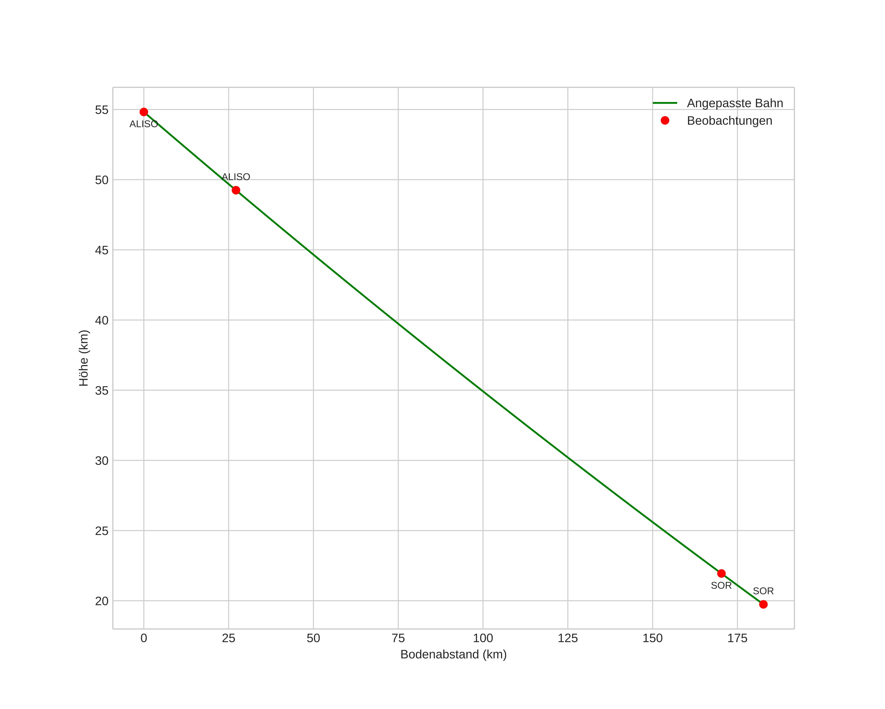
height profile
Atmosphärische Bahn des Meteors:
Anfangshöhe: 55,2 km
Endhöhe: 19,7 km
Startposition: 67,007N 18,019E
Endposition: 68,653N 18,200E
Richtung: 2,3°
Neigungswinkel: 11,0°
orbit plot
position vs time
speed and acceleration