🇳🇴 🇬🇧 🇩🇪 🇨🇿 🇫🇮

Meteor, poloha: Kiruna 2021-02-17 23:50:02 UTC

Soubor KML  |  InteraktivnĂ­ mapa

Mapa zobrazuje dráhy meteoru. Světlejší čáry ukazují směry od pozorovacích stanic při objevení se meteoru a tmavší čáry, kde byl naposledy viděn. Modrá šipka značí viditelnou dráhu meteoru.

static map
height profile
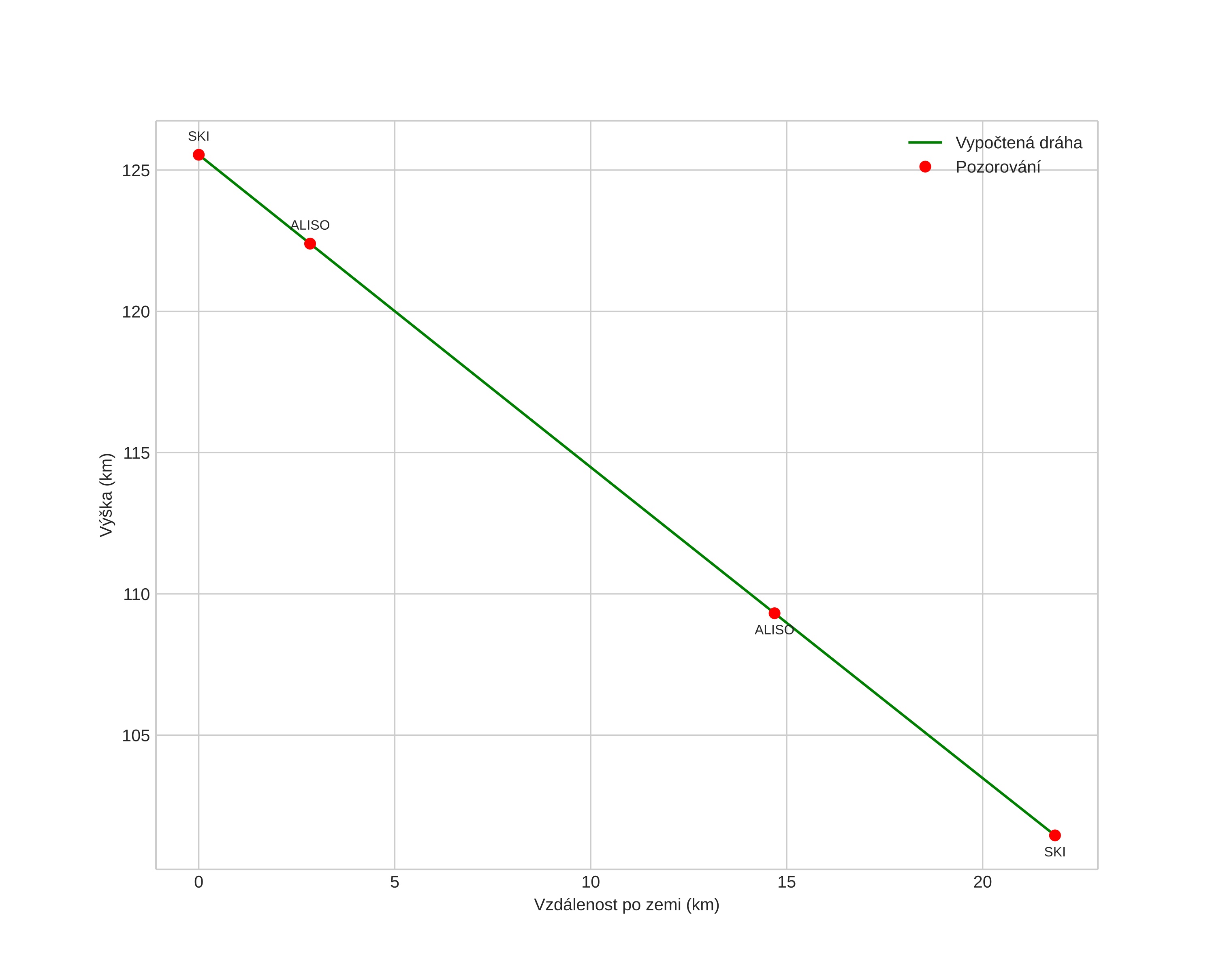
Atmosférická dráha meteoru:
Počáteční výška: 125,3 km
Konečná výška: 101,2 km
Počáteční poloha: 68,332N 20,689E
Konečná poloha: 68,469N 20,320E
Směr: 315,4°
Sklon: 48,3°
VstupnĂ­ rychlost: 72,1 km/s
Rektascenze radiantu: 13:16 (199,1°)
Deklinace radiantu: 31,1°
MeteorickĂ˝ roj: sporadickĂ˝
Elementy dráhy meteoroidu:
Vzdálenost v periheliu: 0,566 AU
Excentricita: 2,390
Sklon dráhy: 93,3°
Délka vzestupného uzlu: 329,3°
Argument perihelia: 246,8°
Střední anomálie: -89,3°
Epocha: 2021 FEB 17 23:50:02
orbit plot

NeinteraktivnĂ­ graf | InteraktivnĂ­ graf

position vs time
speed and acceleration