🇳🇴 🇬🇧 🇩🇪 🇨🇿 🇫🇮

Meteor Kirunan yllä 2021-02-17 23:50:02 UTC

KML-tiedosto  |  Interaktiivinen kartta

Kartta näyttää meteorin suuntahavainnot. Vaaleammat viivat näyttävät suunnat havaintoasemilta meteorin ilmestyessä, ja tummemmat viivat näyttävät, missä se viimeksi nähtiin. Sininen nuoli näyttää meteorin näkyvän lennon.

static map
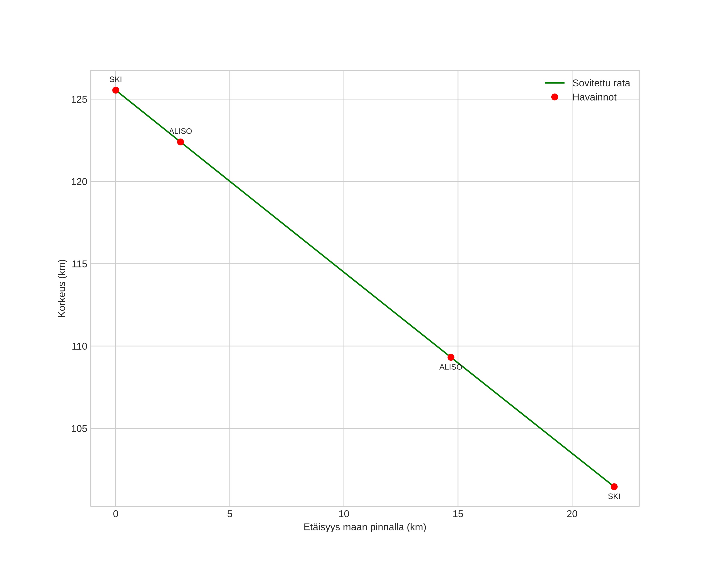
height profile
Meteorin ilmakehärata:
Alkukorkeus: 125,3 km
Loppukorkeus: 101,2 km
Alkupiste: 68,332N 20,689E
Loppupiste: 68,469N 20,320E
Suunta: 315,4°
Kallistuskulma: 48,3°
Tulonopeus: 72,1 km/s
Radiantin R,A,: 13:16 (199,1°)
Radiantin Dekl,: 31,1°
Meteoriparvi: Sporadinen
Meteoroidin rataelementit:
Perihelietäisyys: 0,566 AU
Eksentrisyys: 2,390
Inklinaatio: 93,3°
Nousevan solmun pituus: 329,3°
Perihelin argumentti: 246,8°
Keskianomalia: -89,3°
Epookki: 2021 FEB 17 23:50:02
orbit plot

Ei-interaktiivinen kuvaaja | Interaktiivinen kuvaaja

position vs time
speed and acceleration