🇳🇴 🇬🇧 🇩🇪 🇨🇿 🇫🇮

Meteor, poloha: Tromsø 2021-02-18 00:34:45 UTC

Soubor KML  |  InteraktivnĂ­ mapa

Mapa zobrazuje dráhy meteoru. Světlejší čáry ukazují směry od pozorovacích stanic při objevení se meteoru a tmavší čáry, kde byl naposledy viděn. Modrá šipka značí viditelnou dráhu meteoru.

static map
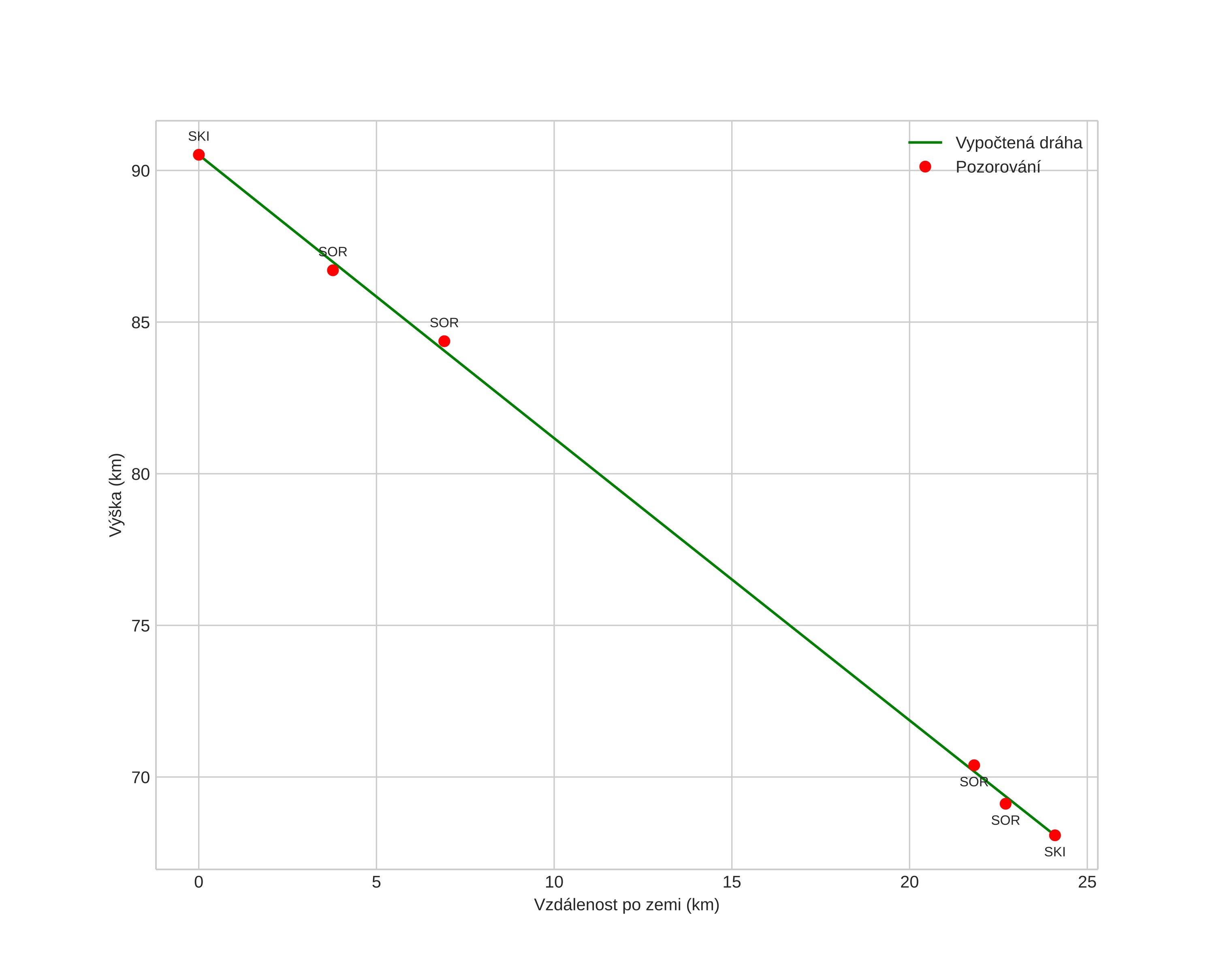
height profile
Atmosférická dráha meteoru:
Počáteční výška: 90,5 km
Konečná výška: 67,9 km
Počáteční poloha: 69,729N 18,254E
Konečná poloha: 69,768N 18,870E
Směr: 79,4°
Sklon: 43,2°
VstupnĂ­ rychlost: 15,8 km/s
Rektascenze radiantu: 07:09 (107,4°)
Deklinace radiantu: 28,8°
MeteorickĂ˝ roj: sporadickĂ˝
Elementy dráhy meteoroidu:
Vzdálenost v periheliu: 0,939 AU
Excentricita: 0,700
Sklon dráhy: 1,9°
Délka vzestupného uzlu: 329,3°
Argument perihelia: 208,5°
Střední anomálie: 356,3°
Epocha: 2021 FEB 18 00:34:45
orbit plot

NeinteraktivnĂ­ graf | InteraktivnĂ­ graf

position vs time
speed and acceleration