🇳🇴 🇬🇧 🇩🇪 🇨🇿 🇫🇮

Meteor Tromsøin yllä 2021-02-18 00:34:45 UTC

KML-tiedosto  |  Interaktiivinen kartta

Kartta näyttää meteorin suuntahavainnot. Vaaleammat viivat näyttävät suunnat havaintoasemilta meteorin ilmestyessä, ja tummemmat viivat näyttävät, missä se viimeksi nähtiin. Sininen nuoli näyttää meteorin näkyvän lennon.

static map
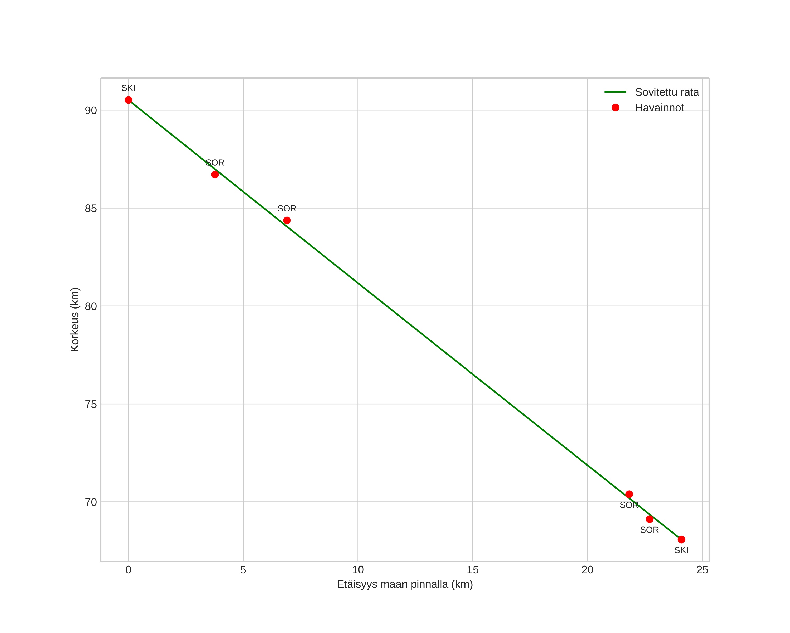
height profile
Meteorin ilmakehärata:
Alkukorkeus: 90,5 km
Loppukorkeus: 67,9 km
Alkupiste: 69,729N 18,254E
Loppupiste: 69,768N 18,870E
Suunta: 79,4°
Kallistuskulma: 43,2°
Tulonopeus: 15,8 km/s
Radiantin R,A,: 07:09 (107,4°)
Radiantin Dekl,: 28,8°
Meteoriparvi: Sporadinen
Meteoroidin rataelementit:
Perihelietäisyys: 0,939 AU
Eksentrisyys: 0,700
Inklinaatio: 1,9°
Nousevan solmun pituus: 329,3°
Perihelin argumentti: 208,5°
Keskianomalia: 356,3°
Epookki: 2021 FEB 18 00:34:45
orbit plot

Ei-interaktiivinen kuvaaja | Interaktiivinen kuvaaja

position vs time
speed and acceleration